ICPE Rubrique n° 4331
Arrêté d'autorisation
Relatif au stockage en réservoirs aériens manufacturés de liquides inflammables, exploités au sein d'une installation classée pour la protection de l'environnement soumise à autorisation*
(JO du 16 novembre 2010)
Modifié par arrêtés du : 10 février 2011 (JO du 31/03/2011), 16 juillet 2012 (JO du 03/08/2012), 11 mai 2015 (JO du 29/05/2015), 2 septembre 2015 (JO du 16/09/2015), 24 août 2017 (JO du 06/10/2017), 24 septembre 2020 (JO du 26/09/20), 17 décembre 2020 (JO du 24/12/2020) et du 22 septembre 2021 (JO du 02/10/2021)
Le ministre d'État, ministre de l'écologie, de l'énergie, du développement durable et de la mer, en charge des technologies vertes et des négociations sur le climat,
Vu le code de l'environnement, notamment le titre Ier de son livre V ;
Vu le décret n° 99-1046 du 13 décembre 1999 modifié relatif aux équipements sous pression ;
Vu l'arrêté du 8 décembre 1995 modifié relatif à la lutte contre les émissions de composés organiques volatils résultant du stockage de l'essence et de sa distribution des terminaux aux stations-service ;
Vu l'arrêté du 2 février 1998 modifié relatif aux prélèvements et à la consommation d'eau ainsi qu'aux émissions de toute nature des installations classées pour la protection de l'environnement soumises à autorisation ;
Vu l'arrêté du 10 mai 2000 modifié relatif à la prévention des accidents majeurs impliquant des substances ou des préparations dangereuses présentes dans certaines catégories d'installations classées pour la protection de l'environnement soumises à autorisation ;
Vu l'arrêté du 21 novembre 2002 modifié relatif à la réaction au feu des produits de construction et d'aménagement ;
Vu l'arrêté du 14 février 2003 relatif à la performance des toitures et couvertures de toiture exposées à un incendie extérieur ;
Vu l'arrêté du 22 mars 2004 relatif à la résistance au feu des produits, éléments de construction et d'ouvrages ;
Vu l'arrêté du 29 septembre 2005 relatif à l'évaluation et à la prise en compte de la probabilité d'occurrence, de la cinétique, de l'intensité des effets et de la gravité des conséquences des accidents potentiels dans les études de dangers des installations classées soumises à autorisation ;
Vu l'arrêté du 28 novembre 2006 modifié portant modalités d'agrément des laboratoires effectuant des analyses dans le domaine de l'eau et des milieux aquatiques au titre du code de l'environnement ;
Vu l'arrêté du 7 juillet 2009 relatif aux modalités d'analyse dans l'air et dans l'eau dans les installations classées pour la protection de l'environnement et aux normes de référence ;
Vu l'arrêté du 8 juillet 2010 établissant la liste des substances prioritaires et fixant les modalités et délais de réduction progressive et d'élimination des déversements, écoulements, rejets directs ou indirects respectivement des substances prioritaires et des substances dangereuses visées à l'article R. 212-9 du code de l'environnement ;
Vu l'avis des organismes professionnels concernés ;
Vu l'avis du conseil supérieur de la prévention des risques technologiques du 28 septembre 2010,
Arrête :
Article 1er (Arrêté du 24 septembre 2020)
I. – Sont considérés comme relevant du présent arrêté les stockages en réservoirs aériens manufacturés de liquides inflammables exploités :
1. Au sein d'une installation classée soumise à autorisation au titre de l'une ou plusieurs des rubriques nos 1436, 4330, 4331, 4722, 4734, 4742, 4743, 4744, 4746, 4747 ou 4748, ou pour le pétrole brut au titre de l'une ou plusieurs des rubriques nos 4510 ou 4511 de la législation des installations classées pour la protection de l'environnement dites « rubriques liquides inflammables » ;
2. Au sein d'une installation classée soumise à autorisation selon une ou plusieurs autres rubriques que les rubriques dites «liquides inflammables», dès lors que les quantités susceptibles d'être présentes de la substance ou du mélange dangereux avec une mention de danger H224, H225, H226 et de déchets liquides inflammables catégorisés HP3 (Arrêté du 22 septembre 2021) « au sein de l'ensemble des installations réglementées par l'arrêté préfectoral d'autorisation » dépassent 1 000 tonnes.
II. – Ne sont pas soumis au présent arrêté les stockages soumis à l'arrêté du 24 septembre 2020 relatif au stockage en récipients mobiles de liquides inflammables exploités au sein d'une installation classée pour la protection de l'environnement soumise à autorisation.
III. – Pour les installations relevant du I-1 ou I-2, les dispositions du présent arrêté sont applicables à l'ensemble des stockages (Arrêté du 22 septembre 2021) « en réservoirs aériens » de liquides de mention de danger H224, H225 et H226, liquides de points éclair compris entre 60 et 93 °C et déchets liquides inflammables catégorisés HP3 (Arrêté du 22 septembre 2021) « présents au sein de l'ensemble des installations réglementées par l'arrêté préfectoral d'autorisation », à l'exclusion de ceux cités au II.
IV. – Une installation nouvelle est une installation dont le dépôt du dossier complet d'autorisation est postérieur au 1er janvier 2021. Les autres installations sont considérées comme existantes.
Les extensions ou modifications d'installations existantes définies ci-dessus régulièrement mises en service sont considérées comme installations nouvelles lorsqu'elles nécessitent le dépôt d'une nouvelle demande d'autorisation en application de l'article R. 181-46 du code de l'environnement au-delà du 1er janvier 2021.
Toutes les dispositions du présent arrêté sont applicables aux installations nouvelles.
Pour les installations existantes, l'annexe VII définit les prescriptions applicables en lieu et place des dispositions correspondantes des articles 2 à 64.
V. – Pour les installations existantes relevant du I.2 du présent article, l'exploitant se fait connaître du préfet et de l'inspection des installations classées au plus tard le 1er janvier 2022. A cet effet, il doit fournir une description des quantités de liquides inflammables susceptibles d'être présentes, des caractéristiques des installations ainsi qu'un bilan de conformité aux prescriptions qui leur sont applicables du présent arrêté.
Les dispositions prévues dans le titre 3 du présent arrêté ne sont par ailleurs pas applicables aux réservoirs existants dont l'exploitation cesse avant fin 2015.
Titre Ier : GÉNÉRALITES
Article 2
Au sens du présent arrêté, on entend par :
- accès au site : ouverture reliant la voie de desserte ou publique et l'intérieur du site suffisamment dimensionnée pour permettre l'entrée des engins de secours et leur mise en œuvre ;
- capacité d'un réservoir : capacité d'un réservoir définie par le volume de remplissage correspondant au premier niveau de sécurité, à défaut au niveau de débordement ;
- (Arrêté du 11 mai 2015) « capacité équivalente : capacité calculée avec la formule suivante 10A + B + C/5 + D/15, où A, B, C, D représentent respectivement les capacités de liquides relatives aux catégories A, B, C, D.
Si des liquides de ces catégories sont stockés dans la même cuvette de rétention ou manipulés dans le même atelier, ils sont assimilés à des liquides de la catégorie présente la plus pénalisante.
Si des liquides sont contenus dans des réservoirs en fosse ou en double enveloppe avec système de détection de fuite ou assimilés, les coefficients des catégories A, B, C, D sont divisés par 5.
Les liquides des catégories B, C ou D réchauffés dans leur masse à une température supérieure à leur point d'éclair sont assimilés à des liquides de catégorie B ; »
- capacité utile d'une rétention afférente à plusieurs réservoirs ou plusieurs récipients mobiles : capacité réputée égale :
- à sa capacité réelle (géométrique), lorsque la capacité utile est calculée en fonction de la capacité totale des réservoirs ou récipients mobiles ;
- à sa capacité réelle diminuée du volume déplacé dans la rétention par les réservoirs ou récipients mobiles autres que le plus grand, lorsque la capacité utile est calculée en fonction de la capacité du plus grand réservoir ou récipient mobile ;
- (Arrêté du 11 mai 2015) « catégorie A : catégorie relative à l'oxyde d'éthyle, et à tout liquide dont le point éclair est inférieur à 0 °C et dont la pression de vapeur saturante à 35 °C est supérieure à 105 pascals ;
- catégorie B : catégorie relative à tout liquide dont le point éclair est inférieur à 55 °C et qui ne répond pas à la définition des liquides de catégorie A ;
- catégorie C : catégorie relative à tout liquide dont le point éclair est supérieur ou égal à 55 °C et inférieur à 93 °C, sauf les fiouls lourds ;
- catégorie C1 : catégorie relative à tout liquide dont le point éclair est supérieur ou égal à 55 °C et inférieur à 93 °C stocké à une température supérieure ou égale à leur point éclair, sauf les fiouls lourds ;
- catégorie C2 : catégorie relative à tout liquide dont le point éclair est supérieur ou égal à 55 °C et inférieur à 93 °C stocké à une température inférieure à leur point éclair, sauf les fiouls lourds ;
- catégorie D : catégorie relative aux fiouls lourds tels qu'ils sont définis par les spécifications administratives ;
- catégorie D1 : catégorie relative aux fiouls lourds stockés à une température supérieure ou égale à leur point éclair ;
- catégorie D2 : catégorie relative aux fiouls lourds stockés à une température inférieure ou égale à leur point éclair ; »
- citerne : capacité mobile d'un volume supérieur ou égal à 1 mètre cube destinée au transport de liquides conformément à la réglementation relative au transport de marchandises dangereuses par voie terrestre ou maritime. Pour le présent arrêté, les récipients mobiles ne sont pas considérés comme des citernes ;
- (Arrêté du 10 février 2011) « Classe d'émulseur : classe de performance d'extinction définie selon la série de normes NF EN 1568 (version d'août 2008) qui servent à la détermination des taux et des durées d'application nécessaires à l'extinction » ;
- composé organique volatil (COV) : tout composé organique, à l'exclusion du méthane, ainsi que la fraction de créosote ayant une pression de vapeur saturante de 0,01 kilopascal, ou plus, à une température de 20 °C ou ayant une volatilité correspondante dans des conditions d'utilisation particulières ;
- drainage (Arrêté du 24 septembre 2020) : « système d'évacuation (dispositif de collecte) et de transfert (réseau) des liquides vers une rétention déportée, le dispositif de drainage inclue, notamment, les caniveaux, puisards et drains de sol ; »
- drainage actif (Arrêté du 24 septembre 2020) : « système mécanique qui permet un écoulement dynamique en canalisant le liquide déversé ; »
- drainage passif (Arrêté du 24 septembre 2020) : « système qui permet un écoulement gravitaire via, notamment, des caniveaux, des siphons de sol ou des puisards ; »
- essence : tout dérivé du pétrole, avec ou sans additif, d'une pression de vapeur saturante à 20 °C de 13 kilopascals ou plus, destiné à être utilisé comme carburant pour les véhicules à moteur, excepté le gaz de pétrole liquéfié (GPL). Les carburants pour l'aviation ne sont pas concernés ;
- émission canalisée de COV : toute émission de COV dans l'atmosphère réalisée à l'aide d'une cheminée ou issue d'un équipement de réduction des émissions ;
- émission diffuse de COV : toute émission de COV dans l'air, le sol et l'eau qui n'a pas lieu sous la forme d'émission canalisée ;
- fosse d'extinction (Arrêté du 24 septembre 2020) : « dispositif constitué d'une fosse et de moyens d'extinction, qui permet d'éteindre les effluents enflammés avant qu'ils ne soient dirigés vers la rétention évitant ainsi la propagation du feu ; »
- installation en « libre service sans surveillance « : une installation est dite en « libre service sans surveillance » lorsqu'elle est mise à la disposition de personnels habilités à exploiter eux-mêmes l'installation en dehors de la présence sur le site de personnel de l'exploitant apte à mettre en œuvre les moyens de première intervention en matière d'incendie et de protection de l'environnement ;
- liquides inflammables (Arrêté du 24 septembre 2020) : « liquides de mention de danger H224, H225 et H226, liquides de points éclair compris entre 60 et 93 °C et déchets liquides inflammables catégorisés HP3 ; »
- liquide non miscible à l'eau : liquide répondant à l'un des critères suivants :
- liquide ayant une solubilité dans l'eau à 20 °C inférieure à 1 % ;
- liquide dont la solubilité dans l'eau à 20 °C est comprise entre 1 % et 10 % et pour lequel des tests d'extinction ont montré qu'il se comporte comme un liquide ayant une faible affinité avec l'eau ;
- carburant dans lequel sont incorporés au plus 15 % de produits oxygénés ;
- liquide miscible à l'eau : liquide ne répondant pas à la définition d'un liquide non miscible à l'eau ;
- (Arrêté du 10 février 2011) « Moyens nécessaires à l'extinction : moyens comprenant les équipements de lutte contre l'incendie (équipements fixes, semi-fixes et mobiles), les ressources en eau et en émulseur, les équipements hydrauliques ainsi que les moyens humains éventuellement nécessaires à leur mise en œuvre.
Opérations d'extinction : ensemble des actions qui concourent à :
- éteindre l'incendie ;
- protéger les installations de l'exploitant susceptibles de propager le sinistre ou d'en augmenter ses effets ;
- préserver les installations participant à la lutte contre l'incendie ;
- réduire le flux thermique émis par l'incendie par la mise en œuvre de moyens adaptés aux risques à couvrir ;
- maintenir un dispositif de prévention en vue d'une éventuelle reprise de l'incendie à l'issue de la phase d'extinction totale » ;
- poste de répartition de liquides : emplacement réunissant une ou plusieurs arrivées de liquides et un ou plusieurs départs, pouvant être reliés par le biais de flexibles ou tuyauteries articulées de façon à réaliser diverses combinaisons nécessaires à l'exploitation ;
- réception automatique : approvisionnement réalisé sans intervention ni surveillance humaines locales sur les ouvertures et les fermetures des circuits de réception ;
- récipient mobile : (Arrêté du 24 septembre 2020) « capacité mobile manutentionnable d'un volume inférieur ou égal à 3 mètres cube. Les réservoirs à carburant des véhicules et engins ne sont pas considérés comme des récipients mobiles ; »
- réservoir : capacité fixe destinée au stockage de liquides. Les bassins de traitement des effluents, fosses, rétentions, ballons, appareils de procédé intégrés aux unités de fabrication ou aux postes de chargement et déchargement et réservoirs dédiés à certaines utilités (par exemple les groupes électrogènes et groupes de pomperie incendie) ne sont pas considérés comme des réservoirs ;
- réservoir aérien : réservoir qui se trouve entièrement au-dessus du niveau du sol environnant. Les réservoirs installés dans des locaux sont considérés comme aériens, même quand les locaux sont situés au-dessous du niveau du sol environnant ;
- réservoir à double paroi : réservoir aérien pour lequel la rétention est délimitée par une seconde paroi métallique ou en béton formant un espace annulaire d'axe vertical autour du réservoir ;
- réservoir à écran flottant : réservoir équipé d'une couverture fixe le protégeant contre les intempéries et d'un dispositif interne similaire à un toit flottant ;
- réservoir à toit fixe : réservoir équipé d'une couverture fixe mais ne répondant pas à la définition d'un réservoir à écran flottant ni à celle d'un réservoir à toit flottant ;
- réservoir à toit fixe de référence : réservoir :
- de géométrie identique ;
- contenant le même produit ;
- ayant le même taux de rotation annuel de produit en service remplissage-vidange ;
- respirant librement à l'atmosphère (non muni de soupapes) ;
- non calorifugé ;
- dont les parois et le toit sont recouverts d'une peinture reflétant 70 % de la chaleur rayonnée ;
- réservoir à toit flottant : réservoir muni d'un toit métallique mobile conçu pour que sa flottabilité soit assurée, et muni d'un joint annulaire d'étanchéité ;
- (Arrêté du 10 février 2011) « Ressource hydraulique : réserve d'eau ou ressource alimentée en continu telle que mer et cours d'eau. Les bouches et poteaux de réseau public d'eau peuvent également être considérés comme ressource hydraulique lorsque l'exploitant peut justifier qu'ils sont en mesure de fournir le débit requis dans la stratégie de lutte contre l'incendie pendant toute l'intervention » ;
- rétention (Arrêté du 24 septembre 2020) : « dispositif de capacité utile suffisante permettant de collecter et retenir des liquides ; »
- rétention locale (Arrêté du 24 septembre 2020) : « rétention permettant de collecter et de retenir in situ les liquides des réservoirs ou récipients qui lui sont associés ; »
- rétention déportée (Arrêté du 24 septembre 2020) : « rétention permettant de collecter et de retenir les liquides à distance des réservoirs ou des récipients associés, via un drainage ; »
- rubriques “liquides inflammables” (Arrêté du 24 septembre 2020) : rubriques nos 1436, 4330, 4331, 4722, 4734, 4742, 4743, 4744, 4746, 4747 ou 4748 ; »
- (Arrêté du 10 février 2011) « Stratégie de sous-rétentions : stratégie consistant :
- à diviser une rétention de grande surface en sous-rétentions de surface moindre, telles que demandées à l'article 22 ;
- en cas d'incendie dans une sous-rétention, à mettre en place un tapis de mousse préventif dans les sousrétentions contiguës afin de prévenir un débordement de liquide enflammé et à procéder à l'extinction de la sous-rétention avant débordement.
- stockage couvert (Arrêté du 24 septembre 2020) : stockage doté d'une toiture, y compris les auvents, pouvant être, le cas échéant, compartimentée (cellules, locaux). Les armoires de stockage ne sont pas des stockages couverts ; »
- taux d'application : quantité de solution moussante, en litres, appliquée par minute et par mètre carré de surface en feu ou potentiellement en feu. »
- taux de rotation d'un réservoir : taux défini par le rapport entre le volume annuel de liquide transféré dans le réservoir et le volume du réservoir ;
- terminal d'essence : établissement qui possède des réservoirs de stockage d'essence et des installations de chargement et de déchargement de citernes utilisées pour le transport d'essence.
- zone de collecte (Arrêté du 24 septembre 2020) : « surface délimitée servant à la récupération des liquides et permettant de contrôler la propagation de la nappe ou de l'incendie en les transférant via un drainage vers des bassins de récupération (rétention déportée). »
Titre II : IMPLANTATION ET ACCESSIBILITÉ
Article 3
Les dispositions du présent article ne sont pas applicables aux établissements (Arrêté du 11 mai 2015) « comportant au moins une installation seuil bas ou seuil haut définie à l'article R. 511-10 du code de l'environnement ».
Les réservoirs installés postérieurement à la date de parution du présent arrêté augmentée de six mois sont implantés de façon à ce que leurs parois soient situées a minima à 30 mètres des limites du site. Cette disposition ne s'applique pas aux réservoirs reconstruits à la place d'un réservoir existant lorsque ce nouveau réservoir est destiné à contenir le même liquide inflammable dans des quantités au plus égales.
Des distances inférieures peuvent être prévues sous réserve que les zones de dangers graves pour la vie humaine par effets directs et indirects ne dépassent pas les limites de l'établissement.
Article 4
Toutes les dispositions sont prises afin d'empêcher les personnes non autorisées d'accéder aux installations.
Les réservoirs sont implantés sur un site clôturé, sauf en cas d'impossibilité justifiée. L'exploitant s'assure du maintien de l'intégrité physique de la clôture dans le temps et réalise les opérations d'entretien des abords régulièrement.
La hauteur minimale de la clôture, mesurée à partir du sol du côté extérieur, est de 2,5 mètres.
Article 5
Les sites disposent en permanence de deux accès au moins positionnés de telle sorte qu'ils soient toujours accessibles pour permettre l'intervention des services d'incendie et de secours, quelles que soient les conditions de vent.
L'accès au site est conçu pour pouvoir être ouvert immédiatement sur demande des services d'incendie et de secours ou directement par ces derniers.
Les véhicules dont la présence est liée à l'exploitation de l'installation stationnent sans causer de gêne pour l'accessibilité des engins des services de secours depuis les voies de circulation externes à l'installation, même en dehors des heures d'exploitation et d'ouverture de l'installation.
La voie d'accès aux installations jusqu'à la voie engins définie à l'article 6 du présent arrêté respecte les caractéristiques suivantes :
- la largeur utile est au minimum de 6 mètres, la hauteur libre, au minimum de 4,5 mètres et la pente, inférieure à 15 % ;
- dans les virages de rayon intérieur inférieur à 50 mètres, un rayon intérieur R minimal de 13 mètres est maintenu et une surlargeur de S = 15/R mètres est ajoutée ;
- la voie résiste à la force portante calculée pour un véhicule de 320 kN avec un maximum de 130 kN par essieu, ceux-ci étant distants de 3,6 mètres au maximum.
Des valeurs différentes peuvent être prévues par arrêté préfectoral sous réserve de l'accord préalable du service d'incendie et de secours.
Article 6
L'installation dispose d'une voie « engins » permettant de faire le tour de chaque rétention associée à un ou plusieurs réservoirs.
La voie « engins » respecte les caractéristiques suivantes :
- la largeur utile est au minimum de 3 mètres, la hauteur libre, au minimum de 4,5 mètres et la force portante, identique à celle de la voie d'accès prévue à l'article 5 du présent arrêté ;
- elle comprend au moins deux aires de croisement tous les 100 mètres ; ces aires ont une longueur minimale de 15 mètres et une largeur minimale de 3 mètres en plus de la voie engins.
Des configurations différentes peuvent être prévues par arrêté préfectoral sous réserve de l'accord préalable du service d'incendie et de secours.
Les dispositions du présent article ne s'appliquent pas aux réservoirs à double paroi répondant aux dispositions de l'article 25 du présent arrêté.
Titre III : DISPOSITIONS CONSTRUCTIVES, AMENAGEMENT ET ÉQUIPEMENTS
Article 7
7-1. Les locaux abritant un stockage de liquides inflammables présentent les caractéristiques de réaction et de résistance au feu minimales suivantes :
- les parois extérieures sont construites en matériaux de classe A1 ;
- la structure est R 180 ;
- les murs séparatifs sont REI 180 et dépassent d'au moins 1 mètre la couverture du bâtiment au droit du franchissement. Ces parois sont prolongées latéralement aux parois extérieures sur une largeur de 1 mètre ou 0,5 mètre en saillie de la façade, dans la continuité de la paroi sauf si les parois extérieures sont EI 180 ;
- la toiture est recouverte d'une bande de protection A2 s1 d0 sur une largeur minimale de 5 mètres de part et d'autre des parois séparatives ;
- les ouvertures effectuées dans les parois séparatives sont munies de dispositifs de fermeture ou de calfeutrement assurant un degré de résistance au feu équivalent à celui exigé pour ces parois ;
- les planchers hauts sont EI 180 et les structures porteuses des planchers R 180 au moins ;
- en ce qui concerne la toiture, ses éléments de support sont réalisés en matériaux A1 ainsi que l'isolant thermique (s'il existe). L'ensemble de la toiture (éléments de support, isolant et étanchéité) satisfait la classe et l'indice BROOF (t3) ;
- le sol est imperméable et incombustible (de classe A1fl) ;
- les matériaux des ouvertures laissant passer l'éclairage naturel ne produisent pas, lors d'un incendie, de gouttes enflammées ;
- les ateliers d'entretien du matériel situés dans le même bâtiment sont isolés par une paroi et un plafond REI 180 ;
- s'ils sont situés dans le même bâtiment, les bureaux et les locaux sociaux, à l'exception des bureaux dits de « quais » destinés à accueillir le personnel travaillant directement sur les stockages et les quais, sont situés dans un local clos distant d'au moins 10 mètres des stockages, ou isolés par une paroi EI 180 ;
- les locaux sont équipés en partie haute de dispositifs permettant l'évacuation des fumées et gaz de combustion (DENFC) dégagés en cas d'incendie (lanterneaux en toiture, ouvrants en façade ou tout autre dispositif équivalent). Un DENFC de superficie utile comprise entre 0,5 et 6 mètres carrés est prévu pour 250 mètres carrés de superficie projetée de toiture.
Les DENFC, en référence à la norme NF EN 12-101-2 (version d'octobre 2003 ou version ultérieure), présentent les caractéristiques suivantes :
- système d'ouverture de type B (ouverture et fermeture) ;
- fiabilité : classe RE 300 (300 cycles de mise en sécurité) ;
- classification de la surcharge neige à l'ouverture : SL 250 (25 daN/m2) pour des altitudes inférieures ou égales à 400 mètres et SL 500 (50 daN/m2) pour des altitudes comprises entre 400 et 800 mètres. La classe SL 0 est utilisable si la région d'implantation n'est pas susceptible d'être enneigée ou si des dispositions constructives empêchent l'accumulation de la neige. Au-dessus de 800 mètres, les exutoires sont de la classe SL 500 et installés avec des dispositions constructives empêchant l'accumulation de la neige ;
- classe de température ambiante T(00) ;
- classe d'exposition à la chaleur B 300.
Les dispositifs d'évacuation des fumées sont composés d'exutoires à commande automatique et manuelle.
Les commandes d'ouverture manuelle sont placées à proximité des accès aux locaux de stockage. Le système de désenfumage est adapté aux risques particuliers de l'installation.
« 7-2. » (3) Les parties des bâtiments entre murs séparatifs où sont stockés des liquides inflammables ont une surface maximale égale à 1 500 mètres carrés en l'absence de système d'extinction automatique d'incendie et 3 000 mètres carrés en présence d'un système d'extinction automatique d'incendie spécifiquement adapté aux liquides inflammables et dimensionné pour permettre une extinction totale de l'incendie de la cellule concernée dans un délai maximum de trois heures.
« 7-3. » (4) Les installations ne comprennent pas, ne surmontent pas, ni ne sont surmontées de locaux habités ou occupés par des tiers.
(3) Le mot « 7-2 » est ajouté par arrêté du 10 février 2011.
(4) Le mot : « 7-2 » est remplacé par le mot : « 7-3 » par arrêté du 10 février 2011.
Article 8
Les réservoirs sont conformes, à la date de leur construction, aux normes et codes en vigueur prévus pour le stockage de liquides inflammables, à l'exception des dispositions contraires aux prescriptions du présent arrêté.
Tout réservoir fait l'objet, avant sa mise en service, d'un essai initial de résistance et d'étanchéité par remplissage à l'eau dans les conditions prévues par la norme ou le code de construction.
Cet essai fait l'objet d'un rapport conservé dans le dossier de suivi afférent au réservoir, dont le contenu est détaillé à l'article 28 du présent arrêté et tenu à disposition de l'inspection des installations classées.
Les charpentes supportant des réservoirs de liquides inflammables dont le point le plus bas est situé à plus d'un mètre du sol sous-jacent sont R 180.
Article 9
Les réservoirs contenant du pétrole brut font l'objet d'un revêtement interne anti-corrosion sur le fond et sur une hauteur de robe de 0,6 mètre à partir du fond.
Article 10
La distance horizontale entre un nouveau réservoir et les autres réservoirs, situés dans la même rétention, mesurée de robe à robe (calorifuge non compris), respecte les distances minimales suivantes :
| DIAMÈTRE DU RÉSERVOIR | catégorie DE LIQUIDE | DISTANCE MINIMALE ENTRE LE RÉSERVOIR et un réservoir situé dans la même rétention |
D ≤ 10 m |
Toutes |
1,5 m |
10 m < D ≤ 30 m |
A, B, C1, D1 |
10 m ; cette distance peut être réduite sous réserve de la mise en place d'une des dispositions indiquées ci-dessous |
C2 |
7,5 m ; cette distance peut être réduite sous réserve de la mise en place d'une des dispositions indiquées ci-dessous |
|
D2 |
1,5 m |
|
30 m < D ≤ 40 m |
A, B, C1, D1 |
D/3 |
C2 |
D/4 |
|
D2 |
1,5 m |
|
D > 40 m |
A, B, C1, D1 |
D/2 |
C2 |
D/4 |
|
D2 |
1,5 m |
Tableau modifié par arrêté du 11 mai 2015.
(Arrêté du 11 mai 2015) « En cas de réservoirs de dimensions différentes ou de catégories de liquides stockés différentes, la catégorie Du liquide le plus défavorable et le diamètre du réservoir le plus grand sont pris en compte »
Les dispositions spécifiques prévues pour les réservoirs de diamètre compris entre 10 et 30 mètres sont :
- un calcul du rayonnement thermique lié à un feu de réservoir voisin ;
- ou la mise en place de moyens de refroidissement fixes automatiques sur les réservoirs voisins et le réservoir concerné ;
- ou la mise en place d'un rideau d'eau fixe automatique entre les réservoirs voisins et le réservoir concerné ;
- ou la mise en place d'écrans faisant obstacle au rayonnement thermique, stables au feu pendant quatre heures minimum,
permettant de s'assurer que le flux thermique reçu par le réservoir exposé est inférieur à 12 kW/m2.
La distance horizontale entre un nouveau réservoir et les autres réservoirs est supérieure à 1,5 mètre.
Les dispositions de cet article ne s'appliquent pas aux réservoirs reconstruits à la place d'un réservoir existant lorsque ce nouveau réservoir est destiné à contenir le même liquide inflammable dans des quantités au plus égales.
Article 11
La distance d'implantation d'un réservoir vis-à-vis du bord d'une rétention associée à un autre réservoir est fixée par arrêté préfectoral en considérant, pour la valeur du flux initié par l'incendie de la rétention voisine et reçu par le réservoir, une valeur maximale admissible de 12 kW/m2.
Cette valeur est portée à 15 kW/m2 si des moyens de protection par refroidissement de la paroi exposée du réservoir, permettant de ramener le flux ressenti au niveau du réservoir à 12 kW/m2, peuvent être mis en œuvre dans un délai de quinze minutes à partir du début de l'incendie dans la rétention.
Ces dispositions s'appliquent de façon identique pour établir la distance d'implantation d'un réservoir vis-à-vis de toute rétention extérieure de récipients mobiles et de tout stockage couvert de récipients mobiles en considérant, pour ce dernier calcul de distances, une cellule en feu comme une rétention.
Article 12
Les réservoirs de liquides inflammables de catégories A, B, C1 et D1 situés dans une même rétention sont adjacents à une voie d'accès permettant l'intervention des moyens mobiles d'extinction.
Les réservoirs de liquides inflammables de catégories C2 ou D2 situés dans une même rétention sont disposés sur trois rangées au maximum.
Article 13
L'espace compris entre la couverture fixe et l'écran mobile des réservoirs à écran flottant est ventilé par des ouvertures ou inerté de façon à ce que le seuil d'inflammabilité du liquide inflammable n'y soit pas atteint.
Article 14
Les réservoirs d'un volume supérieur à 1 500 mètres cubes contenant des liquides dont la pression de vapeur saturante est supérieure à 25 kilopascals à 20 °C (ou tension de vapeur équivalente à 37,8 °C de 50 kilopascals pour les produits pétroliers) sont équipés d'un toit ou d'un écran flottant ou exploités de façon à ce que le seuil d'inflammabilité du liquide inflammable n'y soit pas atteint.
Article 15
Les réservoirs à toit fixe et les réservoirs à écran flottant sont munis d'un dispositif de respiration limitant, en fonctionnement normal, les pressions ou dépressions aux valeurs prévues lors de la construction et reprises dans le dossier de suivi du réservoir prévu à l'article 28 du présent arrêté.
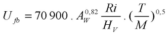
Lorsque les zones de dangers graves pour la vie humaine, par effets directs ou indirects, liées à un phénomène dangereux de pressurisation de réservoir sortent des limites du site, l'exploitant met en place des évents dont la surface cumulée Se est a minima celle calculée selon la formule donnée en annexe 1.
Les dispositions du présent article ne sont néanmoins pas applicables :
- aux réservoirs d'un diamètre supérieur ou égal à 20 mètres ;
- aux réservoirs dont les zones de dangers graves pour la vie humaine hors du site, par effets directs et indirects, générées par une pressurisation de bac :
- ne comptent aucun lieu d'occupation humaine et ne sont pas susceptibles d'en faire l'objet soit parce que l'exploitant s'en est assuré la maîtrise foncière, soit parce que le préfet a pris des dispositions en vue de prévenir la construction de nouveaux bâtiments, et ;
- ne comptent aucune voie de circulation ou seulement des voies de circulation pour lesquelles les dispositions des plans d'urgence prévoient une interdiction de circuler.
Article 16
Dans le cas de réceptions automatiques, les réservoirs de liquides inflammables sont équipés :
- d'un dispositif de mesure de niveau fonctionnant de façon continue dont le signal est utilisé pour les asservissements de conduite des opérations de réception (telles que le changement de réservoir ou l'arrêt de la réception) ;
- d'une sécurité de niveau haut, correspondant au premier niveau de sécurité situé au-dessus du niveau maximum d'exploitation :
- indépendante du dispositif de mesure de niveau ;
- installée de façon à pouvoir être contrôlée régulièrement ;
- programmée pour que l'atteinte du niveau de sécurité haut :
- génère une alarme visuelle et sonore ;
- génère l'envoi d'une information vers l'opérateur du transporteur ;
- stoppe automatiquement la réception, éventuellement de façon temporisée, par action sur la vanne d'arrivée du liquide inflammable ;
- positionnée de façon à ce que, compte tenu de la vitesse de remplissage et du temps de manœuvre des vannes, la réception de liquides inflammables soit arrêtée dans le réservoir avant que le liquide n'atteigne le niveau très haut même lorsque la temporisation prévue à l'alinéa précédent est mise en œuvre ;
- d'une seconde sécurité de niveau correspondant à un niveau de sécurité très haut :
- indépendante du dispositif de mesure de niveau et de la première sécurité de niveau ;
- installée de façon à pouvoir être contrôlée régulièrement ;
- programmée pour que l'atteinte du niveau de sécurité très haut entraîne un arrêt immédiat de la réception par la fermeture de la vanne d'arrivée produit et la fermeture de la vanne d'entrée du réservoir ;
- positionnée de façon à ce que, compte tenu de la vitesse de remplissage et du temps de manœuvre des vannes, la réception de liquides inflammables soit arrêtée avant le débordement du réservoir.
Dans le cas de réceptions non automatiques, les réservoirs de liquides inflammables d'une capacité équivalente supérieure ou égale à 100 mètres cubes sont équipés d'un dispositif indépendant du système de mesurage en exploitation, pouvant être :
- une alarme de niveau relayée à une présence permanente de personnel disposant des consignes indiquant la marche à suivre pour interrompre dans les plus brefs délais le remplissage du réservoir et configurée de façon à ce que la personne ainsi prévenue arrête la réception de liquides inflammables avant le débordement du réservoir ;
- ou un limiteur mécanique de remplissage dont la mise en œuvre est conditionnée à la cinétique d'un éventuel sur-remplissage ;
- ou une sécurité instrumentée réalisant les actions nécessaires pour interrompre le remplissage du réservoir avant l'atteinte du niveau de débordement.
Ce dispositif constitue le premier niveau de sécurité au sens de la définition de la capacité d'un réservoir en article 2 du présent arrêté.
Article 17
Les réservoirs sont conçus de façon à ce que le mode de remplissage « en pluie » soit impossible, à l'exception des réservoirs en permanence sous atmosphère de gaz inerte.
Article 18
En cas d'utilisation d'un système de réchauffage, des dispositions permettant la surveillance de la température du liquide et la limitation de la température de réchauffage sont prises pour éviter les phénomènes dangereux d'auto-inflammation de la phase gazeuse et d'ébullition incontrôlée de la phase liquide. La limite de température choisie à cet effet est consignée dans le dossier de suivi du réservoir mentionné à l'article 28 du présent arrêté.
Les réchauffeurs utilisant un dispositif électrique sont maintenus constamment immergés lorsque le réservoir est en exploitation.
Article 19 (Arrêté du 24 septembre 2020)
19-1 A chaque citerne utilisée comme un réservoir fixe de volume supérieur à 3000 litres est associée une capacité de rétention dont la capacité utile est au moins égale à 3000 litres.
19-2 Dispositions applicables aux autres liquides
Sont considérés comme autres liquides, les liquides susceptibles de créer une pollution de l'eau ou du sol, autres que les liquides inflammables.
Tout stockage de ces autres liquides est associé à une capacité de rétention dont le volume est au moins égal à la plus grande des deux valeurs suivantes :
- 100 % de la capacité du plus grand réservoir ;
- 50 % de la capacité globale des réservoirs et récipients associés.
Lorsque le stockage est constitué exclusivement de récipients mobiles de capacité unitaire inférieure ou égale à 250 litres, le volume minimal de la rétention est égal soit à la capacité totale des récipients si cette capacité est inférieure à 800 litres, soit à 20 % de la capacité totale avec un minimum de 800 litres si cette capacité excède 800 litres.
19-3 L'exploitant veille à ce que les capacités de rétention soient disponibles en permanence. Les rétentions sont étanches, et résistent à l'action physico-chimique des liquides pouvant être recueillis.
Les rétentions associées à des liquides inflammables répondent aux dispositions du point 22-1 du présent arrêté.
(Arrêté du 22 septembre 2021) « Elles font l'objet d'un examen visuel approfondi annuellement et d'une maintenance appropriée.
Les parois des rétentions sont incombustibles.
Si le volume de ces rétentions est supérieur à 3000 litres, les parois sont RE 30. »
Article 20
20-1. A chaque réservoir ou groupe de réservoirs est associée une capacité de rétention dont la capacité utile est au moins égale à la plus grande des deux valeurs suivantes :
- 100 % de la capacité du plus grand réservoir associé ;
- 50 % de la capacité totale des réservoirs associés.
20-2. Pour les réservoirs construits (Arrêté du 24 septembre 2020) « à compter du 16 mai 2011 », en sus des volumes définis au point 20-1 du présent arrêté, le volume de rétention permet de contenir le volume des eaux d'extinction, défini dans l'étude de dangers en tenant compte :
- de la diminution du niveau de liquide en feu ;
- du débit de fuite éventuel ;
- de l'apport en solution moussante sur la base du taux d'application nécessaire à l'extinction de ce liquide inflammable ;
- de la destruction de la mousse pendant les opérations d'extinction ;
- de la durée prévisible de l'intervention.
Pour les cas de rétentions contenant plusieurs stockages, ce calcul s'effectue pour le liquide inflammable présentant le taux d'application d'agent d'extinction le plus élevé et considérant la plus grande surface possible en feu pour déterminer le volume d'agent d'extinction apporté.
En alternative au calcul du volume de rétention des eaux d'extinction conformément aux alinéas précédents, l'exploitant peut prendre en compte une hauteur supplémentaire des parois de rétention de 0,15 mètre en vue de contenir ces eaux d'extinction.
20-3 (Arrêté du 24 septembre 2020) « Pour les réservoirs construits à compter du 1er janvier 2021, en sus des volumes définis aux points 20-1 et 20-2 du présent arrêté, le volume de rétention permet de contenir le volume d'eau lié aux intempéries à raison de 10 litres par mètre carré de surface de la rétention et, le cas échéant, du drainage menant à la rétention. »
Article 21 (Arrêté du 24 septembre 2020)
Les dispositions de cet article sont spécifiques aux rétentions déportées.
21-1. Dispositif de drainage
Dans le cas d'une rétention déportée, les liquides inflammables et les eaux d'extinction d'incendie sont canalisés et dirigés à l'extérieur des zones de stockage par un dispositif de drainage.
21-2. Dispositif d'extinction des effluents enflammés
Les effluents ainsi canalisés sont dirigés à l'extérieur des zones de collecte vers un dispositif permettant l'extinction des effluents enflammés et évitant leur réinflammation avant qu'ils ne soient dirigés vers la rétention déportée. Ce dispositif peut être une fosse d'extinction, un plancher pareflamme, un siphon anti-feu ou tout autre dispositif équivalent.
21-3. Le drainage, le dispositif d'extinction et la rétention déportée sont conçus, dimensionnés et construits afin de :
- ne pas communiquer le feu directement ou indirectement aux autres installations situées sur le site ainsi qu'à l'extérieur du site, en particulier le trajet aérien ne traverse pas de zone comportant des feux nus et ne coupe pas les voies d'accès aux récipients mobiles ou bâtiments. Le réseau est protégé de tout risque d'agression mécanique au droit des circulations d'engins ;
- éviter tout débordement des réseaux, pour cela ils sont adaptés aux débits ainsi qu'aux volumes attendus d'effluents enflammés et des eaux d'extinction d'incendie, pour assurer l'écoulement vers la rétention déportée ;
- éviter le colmatage du réseau d'évacuation par toute matière solide ou susceptible de se solidifier ;
- éviter tout débordement de la rétention déportée. Le volume minimal de la rétention déportée est au moins égal au plus grand volume calculé en application des dispositions de l'article 20 du présent arrêté pour chaque stockage associé ;
- éviter toute surverse de liquide inflammable lors de son arrivée éventuelle dans la rétention déportée ;
- résister aux effluents enflammés. En amont du dispositif d'extinction, les réseaux sont en matériaux incombustibles.
Le cas échéant, la rétention déportée peut être commune avec le bassin de confinement prévu à l'article 54-1.
La rétention déportée et, si elle existe, la fosse d'extinction sont accessibles aux services d'intervention lors de l'incendie.
Les hypothèses et justificatifs de dimensionnement sont tenus à disposition de l'inspection des installations classés.
21-4. Le liquide recueilli est dirigé de manière gravitaire vers la rétention déportée. En cas d'impossibilité technique justifiée de disposer d'un dispositif de drainage passif, l'écoulement vers la rétention associée peut être constitué d'un dispositif de drainage commandable manuellement et automatiquement sur déclenchement du système de détection d'incendie ou d'écoulement. Dans ce cas, la pertinence, le dimensionnement et l'efficacité du dispositif de drainage sont démontrés au regard des conditions et de la configuration des stockages.
En cas de mise en place d'un dispositif actif, les équipements nécessaires au dispositif (pompes, etc.) sont conçus pour résister aux effets auxquels ils sont soumis. Ils disposent, d'une alimentation électrique de secours et, le cas échéant, d'équipement empêchant la propagation éventuelle d'un incendie.
21-5. Le dispositif d'extinction ainsi que le dispositif de drainage font l'objet d'un examen approfondi périodiquement et d'une maintenance appropriée. En cas de dispositif de drainage actif, celui-ci fait l'objet de tests de fonctionnement périodiques, à une fréquence au moins semestrielle. Les dates et résultats des tests réalisés sont consignés dans un registre éventuellement informatisé qui est tenu à la disposition de l'inspection des installations classées.
21-6. L'exploitant intègre au plan d'intervention et consignes incendies prévues à l'article 43-6 du présent arrêté, les moyens à mettre en place et les manœuvres à effectuer pour canaliser et maîtriser les écoulements des eaux d'extinction d'incendie, notamment en ce qui concerne la mise en œuvre de dispositifs de drainage actifs, le cas échéant.
Le délai d'exécution de ce plan ne peut excéder le délai de remplissage de la rétention.
21-7. Implantation des rétentions déportées
Les rétentions déportées :
- sont implantées hors des zones d'effet thermique d'intensité supérieure à 5 kW/m2 identifiées dans l'étude de dangers au regard des potentiels incendies susceptibles de survenir au niveau de chaque stockage associé. Cette disposition n'est pas applicable aux rétentions déportées enterrées ;
- sont implantées à moins de 100 mètres d'au moins un appareil d'incendie (bouche ou poteau d'incendie) d'un diamètre nominal de 100 ou 150 millimètres (DN100 ou DN150), dont l'emplacement est défini dans l'étude de dangers au regard des potentiels incendies susceptibles de survenir au niveau de chaque stockage associé. Une réserve d'émulseur destinée à des moyens de pompage fixes ou mobiles, dont la quantité et l'emplacement sont également définis dans l'étude de dangers, est également implantée à proximité de la rétention déportée, si nécessaire.
Si elle existe, la fosse d'extinction est située en dehors des zones de flux thermiques de 5 kw/m2 identifiées dans l'étude de dangers au regard des potentiels incendies susceptibles de survenir au niveau de chaque stockage associé. Cette disposition n'est pas applicable aux fosses d'extinction enterrées.
Article 22
22-1-1. (Arrêté du 17 décembre 2020) « Les rétentions sont pourvues d'un dispositif d'étanchéité répondant à l'une des caractéristiques suivantes :
- un revêtement en béton, une membrane imperméable ou tout autre dispositif qui confère à la rétention son caractère étanche. La vitesse d'infiltration à travers la couche d'étanchéité est alors inférieure à 10-7 mètres par seconde. Cette exigence est portée à 10-8 mètres par seconde pour une rétention de surface nette supérieure à 2000 mètres carrés contenant un stockage de liquides inflammables d'une capacité réelle de plus de 1500 mètres cubes ;
- une couche d'étanchéité en matériaux meubles telle que si V est la vitesse de pénétration (en mètres par heure) et h l'épaisseur de la couche d'étanchéité (en mètres), le rapport h/V est supérieur à 500 heures. L'épaisseur h, prise en compte pour le calcul, ne peut dépasser 0,5 mètre. Ce rapport h/V peut être réduit sans toutefois être inférieur à 100 heures si l'exploitant démontre sa capacité à reprendre ou à évacuer le produit dans une durée inférieure au rapport h/V calculé.
L'exploitant s'assure dans le temps de la pérennité de ce dispositif. L'étanchéité ne doit notamment pas être compromise par les produits pouvant être recueillis, par un éventuel incendie ou par les éventuelles agressions physiques liées à l'exploitation courante. »
22-1-2. « * »
22-2-1. Les rétentions sont conçues et entretenues pour résister à la pression statique du produit éventuellement répandu et à l'action physico-chimique des produits pouvant être recueillis.
Elles font l'objet d'une maintenance appropriée. L'exploitant définit par procédure d'exploitation les modalités de réalisation d'un examen visuel courant régulier et d'un examen visuel annuel approfondi.
22-2-2. Les merlons de soutien, lorsqu'il y en a, sont conçus pour résister à un feu de quatre heures. Les murs, lorsqu'il y en a, sont RE 240 et les traversées de murs par des tuyauteries sont jointoyées par des matériaux E 240.
22-2-3. L'exploitant prend les dispositions nécessaires pour éviter toute rupture de réservoir susceptible de conduire à une pression dynamique (provenant d'une vague issue de la rupture du réservoir), supérieure à la pression statique définie au point 22-2-1 du présent arrêté.
22-2-4. (Arrêté du 17 décembre 2020) « Les parois des rétentions construites ou reconstruites postérieurement au 16 mai 2011 sont conçues et entretenues pour résister à une pression dynamique (provenant d'une vague issue de la rupture d'un réservoir) :
- égale à deux fois la pression statique définie au point 22-2-1 du présent arrêté ; ou
- déterminée par le calcul sur les bases d'un scénario de rupture catastrophique pertinent compte tenu de la conception du bac et de la nature de ses assises.
Ces dispositions ne sont pas applicables aux rétentions associées aux réservoirs :
- à axe horizontal ; ou
- sphériques ; ou
- soumis à la réglementation des équipements sous pression et soumis aux visites périodiques fixées au titre de cette réglementation ; ou
- d'une capacité équivalente inférieure à 100 mètres cubes ; ou
- à double paroi. »
22-3. La hauteur des parois des rétentions est au minimum de 1 mètre par rapport à l'intérieur de la rétention. Cette hauteur minimale est ramenée à 50 centimètres pour les réservoirs à axe horizontal, les réservoirs de capacité inférieure à 100 mètres cubes et les stockages de fioul lourd.
La hauteur des murs des rétentions est limitée à 3 mètres par rapport au niveau extérieur du sol.
Une hauteur plus élevée peut être prévue par arrêté préfectoral dans la mesure où elle permet de réduire les surfaces susceptibles d'être en feu à une valeur inférieure à 5 000 mètres carrés pour les liquides inflammables non miscibles à l'eau et à 2 000 mètres carrés pour les liquides inflammables miscibles à l'eau sous réserve que cette hauteur reste compatible avec la mise en œuvre de moyens mobiles d'extinction.
22-4. La distance entre les parois de la rétention et la paroi des réservoirs contenus est au moins égale à la hauteur de la paroi de la rétention par rapport au sol côté rétention. Cette disposition ne s'applique pas aux rétentions réalisées par excavation du sol.
22-5. Dans tous les cas, la surface nette (réservoirs déduits) maximum susceptible d'être en feu n'excède pas 6 000 mètres carrés. Si la rétention excède cette surface, elle est fractionnée en sous-rétentions de 6 000 mètres carrés au plus par des murs ou merlons qui respectent les dispositions des points 22-2-1 et 22-2-2 du présent arrêté. La stabilité au feu de ces murs et merlons est compatible avec la stratégie de lutte contre l'incendie prévue par l'exploitant.
Pour le cas des liquides miscibles à l'eau, cette surface est ramenée à 3 000 mètres carrés.
22-6. Les rétentions sont accessibles aux moyens d'extinction mobiles, lorsqu'ils sont prévus dans la stratégie d'extinction, sur au moins deux côtés opposés desservis par une voie engins et tenant compte des vents dominants.
22-7-1. Les tuyauteries existantes, situées à l'intérieur des rétentions mais étrangères à leur exploitation, sont tolérées sous réserve de la possibilité de les isoler par des dispositifs situés en dehors de la rétention. Ces dispositifs d'isolement sont identifiés et facilement accessibles en cas d'incendie de rétention. Leur mise en œuvre fait l'objet de consignes particulières.
22-7-2. En cas de tuyauterie de liquide inflammable alimentant des réservoirs dans des rétentions différentes, seules des dérivations sectionnables en dehors des rétentions peuvent pénétrer celles-ci.
22-7-3. Les nouvelles tuyauteries tant aériennes qu'enterrées et les nouvelles canalisations électriques qui ne sont pas strictement nécessaires à l'exploitation de la rétention ou à sa sécurité sont exclues de celles-ci.
22-8. Une pompe de liquides inflammables peut être placée dans la rétention sous réserve qu'elle puisse être isolée par un organe de sectionnement respectant les prescriptions de l'article 26 du présent arrêté depuis l'extérieur de la rétention ou qu'elle soit directement installée au-dessus des réservoirs.
22-9. Lorsqu'une perte de confinement sur un réservoir peut être à l'origine d'un phénomène dont les effets de surpression sont susceptibles de conduire à des dangers significatifs pour la vie humaine à l'extérieur du site, une détection de présence de liquide inflammable (détection liquide ou gaz) est mise en place.
En l'absence de gardiennage des installations, un dispositif d'alerte permet une intervention dans les trente minutes suivant le début de la fuite.
22-10. A l'exception du point 22-9 du présent arrêté, les dispositions du présent article ne s'appliquent pas :
- aux stockages visés à l'article 19 du présent arrêté ;
- aux réservoirs à double paroi visés à l'article 25 du présent arrêté.
Article 23
Une rétention ne peut être affectée à la fois à des réservoirs de gaz liquéfiés et à des réservoirs de liquides inflammables.
Les rétentions affectées aux réservoirs fixes ne peuvent pas être également affectées au stockage de récipients mobiles et citernes, sauf dans le cas des rétentions déportées.
Des produits incompatibles ne partagent pas la même rétention.
Article 24
L'exploitant met en place les dispositifs et procédures appropriés pour assurer l'évacuation des eaux pouvant s'accumuler dans les rétentions.
Ces dispositifs :
- sont étanches en position fermée aux liquides inflammables susceptibles d'être retenus ;
- sont fermés (ou à l'arrêt s'il s'agit de dispositifs actifs) sauf pendant les phases de vidange ;
- peuvent être commandés sans avoir à pénétrer dans la rétention.
La position ouverte ou fermée de ces dispositifs est clairement identifiable sans avoir à pénétrer dans la rétention.
Article 25
Les dispositions de cet article sont spécifiques aux réservoirs à double paroi.
25-1. La distance entre la robe du réservoir et la seconde paroi est limitée au strict nécessaire pour assurer le placement des organes de sectionnement et permettre l'exploitation et la maintenance courante. Elle est dans tous les cas inférieure à 5 mètres. La capacité de rétention est dimensionnée de manière à respecter les exigences du point 20-1 du présent arrêté.
25-2. La seconde paroi formant rétention est RE 240 sauf si elle est métallique, auquel cas elle est incombustible et est équipée de moyens de refroidissement permettant d'obtenir une stabilité, en cas d'incendie dans l'espace annulaire, d'au moins trente minutes.
25-3. L'espace annulaire est équipé d'une détection (liquide ou gaz) adaptée à la nature du liquide inflammable stocké, d'une détection feu et de moyens fixes de déversement de mousse. Si le liquide inflammable éventuellement répandu dans l'espace annulaire peut générer une atmosphère explosive, la détection est basée sur plusieurs capteurs utilisant au moins deux technologies différentes dont une détection gaz.
La détection de présence de liquide inflammable dans l'espace annulaire provoque l'arrêt immédiat du remplissage du réservoir, son isolement et le déclenchement automatique de déversement de mousse dans l'espace annulaire.
En l'absence de présence humaine sur le site ou si le délai d'intervention incendie est supérieur à vingt minutes, la détection feu provoque l'isolement du réservoir et le déclenchement automatique du déversement de mousse dans l'espace annulaire.
25-4. Les réservoirs disposent des moyens suivants pour prévenir le surremplissage :
- une mesure de niveau haut avec une alarme relayée à une présence permanente de personnel disposant des consignes indiquant la marche à suivre pour interrompre dans les plus brefs délais le remplissage du réservoir ;
- une sécurité de niveau très haut indépendante de la mesure provoquant l'arrêt éventuellement temporisé du remplissage du réservoir et configurée de façon à ce que la réception de liquides inflammables soit arrêtée avant le débordement du réservoir.
25-5. Pour le cas particulier des réservoirs à double paroi métallique :
- les réservoirs sont conçus de telle sorte qu'en cas de surpression interne accidentelle la rupture du réservoir ait lieu au niveau de la liaison entre la robe et le toit. Cette prescription ne s'applique pas aux réservoirs à toit flottant ;
- la stratégie de lutte contre l'incendie est uniquement basée sur des moyens fixes. Elle permet l'extinction d'un feu dans l'espace annulaire avec une rapidité telle que la tenue au feu de la double paroi métallique ne soit pas compromise. Elle ne fait pas appel aux moyens de lutte contre l'incendie des services de secours publics ;
- les dispositions suivantes sont notamment mises en œuvre :
- le réservoir et la seconde paroi (côté extérieur) sont équipés d'une couronne de refroidissement ayant un débit de 15 litres par minute et par mètre de circonférence minimum. Ce débit permet un refroidissement de l'ensemble de la robe jusqu'au pied du réservoir tel que démontré dans l'étude de dangers ;
- le réservoir est équipé de moyens fixes de déversement de mousse aptes à combattre un feu de réservoir (notamment des boîtes à mousse ou des déversoirs) ;
- l'espace annulaire est équipé de moyens fixes de déversement de mousse ;
- la détection de présence de liquide inflammable dans l'espace annulaire provoque le déclenchement automatique de déversement de mousse dans l'espace annulaire ;
- la détection feu dans l'espace annulaire provoque le déclenchement automatique de déversement de mousse dans l'espace annulaire et la mise en service de la couronne de refroidissement de la seconde paroi (couronne extérieure) ;
- le temps de mise en œuvre des moyens fixes de protection incendie est inférieur à cinq minutes ;
- la présence d'au moins une personne compétente apte à intervenir en moins de cinq minutes pour pallier la défaillance des moyens évoqués à l'alinéa précédent est obligatoire.
25-6. En outre, pour les équipements destinés à combattre un incendie dans l'espace annulaire de tous les réservoirs à double paroi, sont notamment mises en place les dispositions suivantes :
- les moyens de pompage en eau et en émulseur disposent d'un équipement de secours ;
- la génération de solution moussante dispose d'un équipement de secours ;
- le réseau d'eau d'incendie et de prémélange est maillé ;
- les moyens d'application mousse disposent d'un équipement de secours ;
- les réserves d'émulseurs disposent d'un équipement de secours.
Le réseau de l'exploitant est conçu de telle sorte qu'il puisse être secouru et réalimenté par les moyens de lutte contre l'incendie des services de secours publics en cas de défaillance de l'ensemble du réseau principal et du (ou des) réseau(x) de secours. Le réseau principal est testé tous les ans par l'exploitant. Le dispositif d'alimentation du réseau de secours est compatible avec les moyens des secours publics.
Article 26
26-1. Les tuyauteries, robinetteries et accessoires sont conformes aux normes et codes en vigueur lors de leur fabrication, à l'exception des dispositions contraires aux prescriptions du présent arrêté. Les différentes tuyauteries accessibles sont repérées (Arrêté du 10 février 2011) « conformément aux règles définies par l'exploitant ».
Les supports de tuyauteries sont réalisés en construction métallique, en béton ou en maçonnerie. Ils sont conçus et disposés de façon à prévenir les corrosions et érosions extérieures des tuyauteries au contact des supports.
26-2. Lorsque les tuyauteries de liquides inflammables sont posées en caniveaux, ceux-ci sont équipés à leurs extrémités et tous les 100 mètres de dispositifs appropriés évitant la propagation du feu et l'écoulement des liquides inflammables au-delà de ces dispositifs.
26-3. Les tuyauteries vissées d'un diamètre supérieur à 50 millimètres, transportant un liquide inflammable, sont autorisées à l'intérieur des rétentions sous réserve que le vissage soit complété par un cordon de soudure.
26-4. Le passage au travers des murs en béton est compatible avec la dilatation des tuyauteries.
26-5. Les tuyauteries d'emplissage ou de soutirage débouchant dans le réservoir au niveau de la phase liquide sont munies d'un dispositif de fermeture pour éviter que le réservoir ne se vide dans la rétention en cas de fuite sur une tuyauterie. Ce dispositif est constitué d'un ou plusieurs organes de sectionnement. Ce dispositif de fermeture est en acier, tant pour le corps que pour l'organe d'obturation, et se situe au plus près de la robe du réservoir tout en permettant l'exploitation et la maintenance courante.
Il est interdit d'intercaler des tuyauteries flexibles entre le réservoir et le dispositif de fermeture précité.
La fermeture s'effectue par télécommande ou par action d'un clapet antiretour. En cas d'incendie dans la rétention, la fermeture est automatique, même en cas de perte de la télécommande, et l'étanchéité du dispositif de fermeture est maintenue.
Des dispositions alternatives peuvent être prévues par arrêté préfectoral sous réserve de la mise en place d'une organisation et de moyens d'intervention de l'exploitant disponibles visant à :
- assurer que le temps total de détection et d'intervention est inférieur à soixante minutes ;
- assurer la tenue au feu des tuyauteries et de leurs équipements (supportage, brides et presse-étoupes) présents dans la rétention pendant au moins soixante minutes.
26-6. Les dispositions du présent article ne s'appliquent pas aux réservoirs d'une capacité équivalente de moins de 10 mètres cubes.
Article 27
Les pompes de transfert de liquide inflammable :
- de catégorie A, B ou C, lorsque la puissance moteur installée est supérieure à 5 kW ;
- de catégorie D, lorsque la puissance moteur installée est supérieure à 15 kW,
sont équipées d'une sécurité arrêtant la pompe en cas d'échauffement anormal provoqué par un débit nul.
Titre IV : EXPLOITATION ET ENTRETIEN
Article 28
Chaque réservoir d'une capacité équivalente de plus de 10 mètres cubes fait l'objet d'un dossier de suivi individuel comprenant a minima les éléments suivants, dans la mesure où ils sont disponibles :
- date de construction (ou date de mise en service) et code de construction utilisé ;
- volume du réservoir ;
- matériaux de construction, y compris des fondations ;
- existence d'un revêtement interne et date de dernière application ;
- date de l'épreuve hydraulique initiale si elle a été réalisée ;
- liste des produits ou familles de produits successivement stockés dans le réservoir ;
- dates, types d'inspection et résultats ;
- réparations éventuelles et codes utilisés.
Ce dossier est tenu à disposition de l'inspection des installations classées.
Article 29
29-1. Tout réservoir d'une capacité équivalente de plus de 10 mètres cubes fait l'objet d'un plan d'inspection définissant la nature, l'étendue et la périodicité des contrôles à réaliser en fonction des produits contenus et du matériau de construction du réservoir et tenant compte des conditions d'exploitation, de maintenance et d'environnement.
Ce plan comprend :
- des visites de routine ;
- des inspections externes détaillées ;
- des inspections hors exploitation détaillées pour les réservoirs de capacité équivalente de plus de 100 mètres cubes. Les réservoirs qui ne sont pas en contact direct avec le sol et dont la paroi est entièrement visible de l'extérieur sont dispensés de ce type d'inspection.
29-2. Les visites de routine permettent de constater le bon état général du réservoir et de son environnement ainsi que les signes extérieurs liés aux modes de dégradation possible. Une consigne écrite définit les modalités de ces visites de routine. L'intervalle entre deux visites de routine n'excède pas un an.
29-3. Les inspections externes détaillées permettent de s'assurer de l'absence d'anomalie remettant en cause la date prévue pour la prochaine inspection.
Ces inspections comprennent a minima :
- une inspection visuelle externe approfondie des éléments constitutifs du réservoir et des accessoires (comme les tuyauteries et les évents) ;
- une inspection visuelle de l'assise ;
- une inspection de la soudure entre la robe et le fond ;
- un contrôle de l'épaisseur de la robe, notamment près du fond ;
- une vérification des déformations géométriques éventuelles du réservoir, et notamment de la verticalité, de la déformation éventuelle de la robe et de la présence d'éventuels tassements ;
- l'inspection des ancrages si le réservoir en est pourvu ;
- des investigations complémentaires concernant les défauts révélés par l'inspection visuelle s'il y a lieu.
Ces inspections sont réalisées au moins tous les cinq ans, sauf si une visite de routine réalisée entre-temps a permis d'identifier une anomalie. Une fréquence différente peut être prévue par arrêté préfectoral pour les réservoirs liés à des unités de fabrication.
29-4. Les inspections hors exploitation détaillées comprennent a minima :
- l'ensemble des points prévus pour l'inspection externe détaillée ;
- une inspection visuelle interne approfondie du réservoir et des accessoires internes ;
- des mesures visant à déterminer l'épaisseur restante par rapport à une épaisseur minimale de calcul ou une épaisseur de retrait, conformément, d'une part, à un code adapté et, d'autre part, à la cinétique de corrosion. Ces mesures portent a minima sur l'épaisseur du fond et de la première virole du réservoir et sont réalisées selon les meilleures méthodes adaptées disponibles ;
- le contrôle interne des soudures. Sont a minima vérifiées la soudure entre la robe et le fond et les soudures du fond situées à proximité immédiate de la robe ;
- des investigations complémentaires concernant les défauts révélés par l'inspection visuelle s'il y a lieu.
Les inspections hors exploitation détaillées sont réalisées aussi souvent que nécessaire et au moins tous les dix ans, sauf si les résultats des dernières inspections permettent d'évaluer la criticité du réservoir à un niveau permettant de reporter l'échéance dans des conditions prévues par un guide professionnel reconnu par le ministère chargé du développement durable. Ce report ne saurait excéder dix ans et ne pourra en aucun cas être renouvelé. A l'inverse, ce délai peut être réduit si une visite de routine ou une inspection externe détaillée réalisée entre-temps a permis d'identifier une anomalie.
29-5. Les écarts constatés lors de ces différentes inspections sont consignés par écrit et transmis aux personnes compétentes pour analyse et décision d'éventuelles actions correctives.
29-6. (Arrêté du 17 décembre 2020) « Les inspections externes et hors exploitation sont réalisées :
- par des services d'inspection de l'exploitant reconnus par le préfet ou le ministre chargé du développement durable ; ou
- par un organisme indépendant habilité par le ministre chargé de la sécurité industrielle pour toutes les activités de contrôle citées à l'article L. 557-28 du code de l'environnement ; ou
- par des inspecteurs certifiés selon un référentiel professionnel reconnu par le ministre chargé du développement durable ; ou
- sous la responsabilité de l'exploitant, par une personne compétente désignée à cet effet, apte à reconnaître les défauts susceptibles d'être rencontrés et à en apprécier la gravité.
Le préfet peut récuser la personne ayant procédé à ces inspections s'il estime qu'elle ne satisfait pas aux conditions du présent alinéa.
Lorsqu'un guide professionnel portant sur le contenu détaillé des différentes inspections est reconnu par le ministre chargé du développement durable, l'exploitant le met en œuvre sauf s'il justifie le recours à des pratiques différentes.
Lorsque les réservoirs présentent des caractéristiques particulières (notamment de par leur matériau constitutif, leur revêtement ou leur configuration) ou contiennent des liquides inflammables de caractéristiques physico-chimiques particulières, des dispositions spécifiques peuvent être adaptées (nature et périodicité) pour les inspections en service et les inspections hors exploitation détaillées sur la base de guides reconnus par le ministre chargé du développement durable. »
29-7. «*»
Article 30
L'exploitant tient un inventaire des stocks par réservoir. Cet inventaire est réalisé tous les jours, après le dernier transfert de liquides de la journée en cas de fonctionnement discontinu des installations.
L'exploitant dispose sur le site et avant réception des matières des fiches de données de sécurité pour les matières dangereuses stockées ou tout autre document équivalent.
Ces documents sont facilement accessibles et tenus en permanence à la disposition de l'inspection des installations classées et des services d'incendie et de secours.
Article 31
Sans préjudice des dispositions du code du travail, des consignes précisant les modalités d'application des dispositions du présent arrêté sont établies, tenues à jour et portées à la connaissance du personnel, y compris du personnel des entreprises extérieures amenées à travailler dans l'installation, pour ce qui les concerne.
Ces consignes indiquent notamment :
- les règles concernant l'interdiction de fumer ;
- l'interdiction d'apporter du feu sous une forme quelconque dans l'installation sans autorisation, telle que prévue à l'article 41 du présent arrêté (« permis de feu ») ;
- l'obligation d'une autorisation ou permis d'intervention, telle que prévue à l'article 41 du présent arrêté (« permis de travail ») ;
- les procédures d'arrêt d'urgence et de mise en sécurité de l'installation ;
- les mesures à prendre en cas de fuite sur un réservoir, un récipient mobile, une citerne ou une canalisation contenant des substances dangereuses ;
- les moyens d'intervention à utiliser en cas d'incendie ;
- la procédure d'alerte avec les numéros de téléphone du responsable d'intervention de l'établissement, des services d'incendie et de secours ;
- les mesures particulières pour les opérations de formulation.
Article 32
En cas de fuite d'un réservoir, les dispositions suivantes sont mises en œuvre :
- arrêt du remplissage ;
- analyse de la situation et évaluation des risques potentiels ;
- vidange du réservoir dans les meilleurs délais si la fuite ne peut pas être interrompue ;
- mise en œuvre de moyens prévenant les risques identifiés.
Article 33
L'exploitant enregistre et analyse les événements suivants :
- perte de confinement ou débordement d'un réservoir ;
- perte de confinement de plus de 100 litres sur une tuyauterie ;
- dépassement d'un niveau de sécurité tel que défini à l'article 16 du présent arrêté ;
- défaillance d'un des dispositifs de sécurité mentionnés dans le présent arrêté.
Ce registre et l'analyse associée sont tenus à disposition de l'inspection des installations classées.
Article 34
« * abrogé * » par arrêté du 24 septembre 2020.
Article 35
L'installation à demeure, pour des liquides inflammables, de flexibles aux emplacements où il est possible de monter des tuyauteries rigides est interdite.
Est toutefois autorisé l'emploi de flexibles pour les amenées de liquides inflammables sur les groupes de pompage mobiles, les postes de répartition de liquides inflammables et pour une durée inférieure à un mois dans le cadre de travaux ou de phase transitoire d'exploitation.
Dans le cas d'utilisation de flexibles sur des postes de répartition de liquides inflammables de catégories A, B, C1 ou n° , les conduites d'amenées de produits à partir des réservoirs de stockage d'un volume supérieur à 10 mètres cubes sont munies de vannes automatiques ou de vannes commandées à distance.
Tout flexible est remplacé chaque fois que son état l'exige et si la réglementation transport concernée le prévoit selon la périodicité fixée.
La longueur des flexibles utilisés est aussi réduite que possible.
Article 36
36-1. (Arrêté du 10 février 2011) « En dehors des heures d'exploitation de l'installation, une surveillance de toute installation contenant plus de 600 mètres cubes de liquides inflammables de catégorie A, B, C1 ou D1 ou plus de 10 000 mètres cubes de liquides inflammables de catégorie C2, par gardiennage ou télésurveillance, est mise en place en permanence afin de transmettre l'alerte en cas de sinistre. Si cette alerte est directement transmise aux services d'incendie et de secours, l'exploitant définit les mesures permettant l'accès et l'intervention des moyens publics dans les meilleures conditions possibles.
Dans le cas d'une présence permanente sur un site visé au premier alinéa de ce point 36-1, une intervention suite à un déclenchement d'une alarme incendie ou une détection de fuite, est effective dans un délai maximum de quinze minutes.
Dans le cas d'un site visé au premier alinéa de ce point 36-1 sous télésurveillance :
- un système de détection de (Arrêté du 24 septembre 2020) « présence de liquides », telle que visée à l'article 22-9 du présent arrêté, est obligatoire et entraîne l'intervention d'une personne apte à intervenir et compétente dans un délai maximum de trente minutes ;
- un système de détection d'incendie est obligatoire et actionne automatiquement le refroidissement des installations voisines. Une personne apte, formée et autorisée à la mise en œuvre des premiers moyens d'extinction est présente dans un délai inférieur à trente minutes après déclenchement de ce dispositif.
Les délais fixés dans les deux alinéas précédents peuvent être portés à soixante minutes pour les stockages d'une capacité réelle inférieure à 1 500 mètres cubes, sous réserve de l'accord préalable des services d'incendie et de secours.
36-2. A l'exception des installations en libre service sans surveillance, une surveillance humaine sur le site est assurée lorsqu'il y a mouvement de produit.
Article 37
L'exploitant s'assure de la vérification périodique et de la maintenance des matériels de sécurité et de lutte contre l'incendie mis en place ainsi que des installations électriques, conformément aux référentiels en vigueur. L'exploitant tient à la disposition de l'inspection des installations classées les éléments justifiant de ces vérifications et maintenance.
(Arrêté du 24 septembre 2020) « Les différents opérateurs et intervenants dans l'établissement, y compris le personnel des entreprises extérieures, reçoivent une formation sur les risques des installations, la conduite à tenir en cas de sinistre et, s'ils y contribuent, sur la mise en œuvre des moyens d'intervention.
Les éléments des rapports de visites de risques qui portent sur les constats et sur les recommandations issues de l'analyse des risques menés par l'assureur dans l'installation sont également tenus à la disposition de l'inspection des installations classées. »
Titre V : AUTRES DISPOSITIONS DE PRÉVENTION DES RISQUES
Article 38
L'exploitant recense, sous sa responsabilité, les parties (locaux ou emplacements) de l'installation ou les équipements et appareils qui, en raison des caractéristiques qualitatives et quantitatives des matières mises en œuvre, stockées, utilisées, produites ou transformées, sont susceptibles d'être à l'origine d'un incendie ou d'une explosion pouvant présenter des dangers pour les intérêts visés à l'article L. 511-1 du code de l'environnement.
Article 39
Dans une distance de 20 mètres des parties (locaux ou emplacements) de l'installation ou des équipements et appareils visés à l'article précédent, l'exploitant recense les équipements et matériels susceptibles, en cas d'explosion ou d'incendie les impactant, de présenter des dangers pour les intérêts visés à l'article L. 511-1 du code de l'environnement. Ce recensement est tenu à disposition de l'inspection des installations classées.
Article 40
Les locaux dans lesquels sont présents des liquides inflammables sont convenablement ventilés pour éviter l'accumulation dangereuse de vapeurs de liquides inflammables.
Toutes les dispositions sont prises pour éviter l'accumulation de vapeurs de liquides inflammables dans les parties basses des installations, et notamment dans les fosses et caniveaux.
Le réseau de vapeur d'eau est efficacement protégé contre toute introduction de liquide inflammable.
Article 41
Dans les parties de l'installation présentant des risques d'incendie ou d'explosion, il est interdit d'apporter du feu sous une forme quelconque, sauf pour la réalisation de travaux ayant fait l'objet d'un « permis de feu ». Cette interdiction est affichée en caractères apparents.
Dans les parties de l'installation visées à l'article 38 du présent arrêté, les travaux de réparation ou d'aménagement conduisant à une augmentation des risques (notamment emploi d'une flamme ou d'une source chaude) ne peuvent être effectués qu'après délivrance d'un « permis de travail » et éventuellement d'un « permis de feu » et en respectant les règles d'une consigne particulière.
Le « permis de travail », le « permis de feu » s'il y en a un et la consigne particulière sont établis et visés par l'exploitant ou par la personne qu'il aura désignée. Lorsque les travaux sont effectués par une entreprise extérieure, le « permis de travail », le « permis de feu », le cas échéant, et la consigne particulière relative à la sécurité de l'installation sont cosignés par l'exploitant et l'entreprise extérieure ou les personnes qu'ils auront désignées, sans préjudice des dispositions prévues par le code du travail (articles R. 4512-6 et suivants).
Après la fin des travaux et avant la reprise de l'activité, une vérification des installations est effectuée par l'exploitant ou son représentant.
Article 42
Les équipements métalliques (réservoirs, cuves et tuyauteries) sont mis à la terre conformément aux réglementations applicables, compte tenu notamment de la catégorie Des liquides contenus ou véhiculés.
Sous réserve des impératifs techniques qui peuvent résulter de la mise en place de dispositifs de protection cathodique, les installations fixes de transfert de liquides inflammables ainsi que les charpentes et enveloppes métalliques sont reliées électriquement entre elles ainsi qu'à une prise ou un réseau de terre. La continuité des liaisons présente une résistance inférieure à 1 ohm et la résistance de la prise de terre est inférieure à 10 ohms.
Titre VI : DÉFENSE CONTRE L'INCENDIE
Article 43 (Arrêté du 2 septembre 2015)
43-1. Stratégie de lutte contre l'incendie.
L'exploitant élabore une stratégie de lutte contre l'incendie pour faire face aux incendies susceptibles de se produire dans ses installations et pouvant porter atteinte, de façon directe ou indirecte, aux intérêts mentionnés à l'article L. 511-1 du code de l'environnement.
Dans le cadre de cette stratégie, l'exploitant s'assure de la disponibilité des moyens nécessaires à l'extinction de scénarios de référence calculés au regard du plus défavorable de chacun des scénarios suivants pris individuellement (Arrêté du 24 septembre 2020) «, que ce soit en eau, en émulseurs, en moyens humains ou moyens de mise en œuvre » :
- 1 : feu du réservoir nécessitant les moyens les plus importants de par son diamètre et la nature du liquide inflammable stocké ;
- 2 : feu dans la rétention, surface des réservoirs déduite, nécessitant les moyens les plus importants de par sa surface, son emplacement, son encombrement en équipements et la nature des liquides inflammables contenus. Afin de réduire les besoins en moyens incendie, il peut être fait appel à une stratégie de sous- rétentions ;
- 3 : (Arrêté du 24 septembre 2020) « feu » d'équipements annexes aux stockages visés par le présent arrêté dont les effets, au sens de l'arrêté du 29 septembre 2005 susvisé, sortent des limites du site ;
- 4 : (Arrêté du 24 septembre 2020) « en cas de présence de stockages en récipients mobiles, les scénarios visés au point III de l'article VI-1 de l'arrêté du 24 septembre 2020 »
La stratégie est dimensionnée pour une extinction des incendies des scénarios de référence définis aux alinéas précédents en moins de trois heures après le début de l'incendie (Arrêté du 24 septembre 2020) « et dans un délai maximal après le départ de feu équivalent au degré de résistance au feu des murs séparatifs, pour les stockages couverts de récipients mobiles ».
Cette stratégie est formalisée dans un plan de défense incendie. Ce plan comprend :
- les procédures organisationnelles associées à la stratégie de lutte contre l'incendie. Cette partie peut être incluse dans le plan d'opération interne prévu par l'article (Arrêté du 24 septembre 2020) « R. 181-54 » du code de l'environnement, lorsque l'exploitant est soumis à l'obligation d'établir un tel document ;
- les démonstrations de la disponibilité et de l'adéquation des moyens de lutte contre l'incendie vis-à-vis de la stratégie définie, demandées à l'article 43-2-3 et au deuxième alinéa de l'article 43-3-1 du présent arrêté. Cette partie peut être incluse dans l'étude de dangers du site ou dans le plan d'opération interne de l'établissement lorsque l'exploitant est soumis à l'obligation d'établir un tel document.
- (Arrêté du 24 septembre 2020) « en cas de présence de stockage en récipients mobiles, l'attestation de conformité du système d'extinction automatique d'incendie accompagnée des éléments prévus à l'article VI-5-III et au point IV de l'annexe V de l'arrêté du 24 septembre 2020 ou, le cas échéant, les éléments de démonstration de l'efficacité du dispositif visé aux points III de l'article VI-5-III et aux point I.B, II ou III de l'annexe V de l'arrêté du 24 septembre 2020. »
43-2. Moyens en équipements et en personnel.
43-2-1. Afin d'atteindre les objectifs définis à l'article 43-1 du présent arrêté, l'exploitant dispose de moyens de lutte contre l'incendie qui lui sont propres et qui peuvent être complétés par des protocoles d'aide mutuelle, des conventions de droit privé ou des moyens des services d'incendie et de secours. L'exploitant informe les services d'incendie et de secours et l'inspection des installations classées dès lors que ces protocoles et conventions nécessitent une mise à jour.
(Arrêté du 24 septembre 2020) « Les protocoles d'aide mutuelle ou convention précisent les moyens ainsi que les délais auxquels s'engagent les parties impliquées, notamment : nature et quantité des moyens de lutte contre l'incendie mis à disposition, délais et conditions dans lesquels les dits moyens sont mis à disposition, période de disponibilité (permanente, heures ouvrées, jours ouvrables, etc.). Ces documents sont tenus à la disposition des services de secours et de l'inspection des installations classées. Les protocoles existants sont mis à jour au plus tard le 1er janvier 2022. »
43-2-2. Si l'exploitant prévoit, dans la stratégie définie au point 43-1 du présent arrêté, un recours aux moyens des services d'incendie et de secours, le concours de ces derniers :
- est sollicité auprès du préfet, en précisant si ce recours est temporaire, le temps de réaliser les travaux permettant de respecter notamment les exigences fixées au point 43-3-3 du présent arrêté, ou si ce recours est permanent. En cas de réponse négative, l'exploitant définit une stratégie de lutte contre l'incendie qui ne prévoit pas le recours aux moyens des services d'incendie et de secours ;
- est approuvé par arrêté préfectoral ;
- est limité aux moyens matériels non consommables et au personnel d'intervention en complément des moyens de l'exploitant ;
- implique la transmission par l'exploitant des informations nécessaires pour permettre à ceux-ci d'élaborer une réponse opérationnelle adaptée.
43-2-3. La disponibilité des moyens de lutte contre l'incendie et leur adéquation vis-à-vis de la stratégie définie par l'exploitant est démontrée dans les conditions définies au point 43-1 du présent arrêté. En particulier, en cas d'usage par l'exploitant de moyens semi-fixes ou mobiles dans le cadre de cette stratégie, l'adéquation aux moyens humains associés est démontrée, notamment en ce qui concerne :
- la cinétique de mise en œuvre eu égard à la cinétique de développement des phénomènes dangereux ;
- l'exposition au flux thermique du personnel amené à intervenir qui ne peut excéder 50 kW/m2 compte tenu de la surface en feu. Une valeur supérieure de flux thermique peut être acceptée, sans toutefois dépasser la dose de 1800 (kW/m2)4/3.s ni la valeur de 8 kW/m2, sous réserve que l'exploitant démontre qu'il possède l'équipement et l'entraînement nécessaires pour une telle intervention ;
- la portée des moyens d'extinction par rapport aux flux thermiques engendrés.
43-2-4. Sans préjudice des dispositions prévues à l'article 36 du présent arrêté, l'exploitant s'assure qu'en cas d'incendie :
- en cas d'usage de moyens fixes d'extinction pouvant être endommagés par l'incendie (y compris leurs supportages), leur mise en œuvre intervient dans un délai maximum de quinze minutes ;
- une personne apte, formée et autorisée à la mise en œuvre des premiers moyens d'extinction est sur place dans un délai maximum de trente minutes. Le préfet peut porter par arrêté préfectoral ce délai à soixante minutes pour les stockages d'une capacité réelle inférieure à 1500 mètres cubes, au regard de la sensibilité des enjeux potentiellement impactés autour du site tels que décrits dans l'étude de dangers ;
- en l'absence de moyens fixes, le délai de mise en œuvre des moyens mobiles d'extinction est défini dans la stratégie de lutte contre l'incendie et la mise en œuvre des premiers moyens mobiles est effectuée dans un délai maximum de soixante minutes.
Les délais mentionnés aux trois alinéas précédents courent à partir du début de l'incendie.
43-2-5. (Arrêté du 24 septembre 2020) « Des personnes désignées par l'exploitant chargées de la mise en œuvre des moyens de lutte contre l'incendie sont aptes à manœuvrer ces équipements et à faire face aux éventuelles situations dégradées.
Ces personnes sont entraînées à la manœuvre de ces moyens. »
43-2-6. (Arrêté du 24 septembre 2020) « Les » bassins de confinement des eaux d'incendie :
- sont implantés hors des zones d'effet thermique d'intensité supérieure à 5 kW/m2 identifiées dans l'étude de dangers, ou ;
- sont constitués de matériaux résistant aux effets générés par les accidents identifiés dans l'étude de dangers et susceptibles de conduire à leur emploi.
43-3. Moyens en eau, émulseurs et taux d'application.
43-3-1. L'exploitant dispose des ressources et réserves en eau et en émulseur nécessaires à la lutte contre les incendies définis au point 43-1 du présent arrêté et à la prévention d'une éventuelle reprise de ces incendies. L'exploitant peut avoir recours à des protocoles ou conventions de droit privé et, dans ce cas, il veille à la compatibilité et à la continuité de l'alimentation en eau ou en émulseur en cas de sinistre.
L'exploitant définit et justifie, en fonction de la stratégie de lutte contre l'incendie retenue, le positionnement des réserves d'émulseur, dans les conditions définies au point 43-1 du présent arrêté. Si le recours aux moyens des services d'incendie et de secours est prévu dans la stratégie de lutte contre l'incendie de l'exploitant, le positionnement et le conditionnement des réserves d'émulseur sont précisés dans l'arrêté préfectoral cité au 43-2-2.
(Arrêté du 24 septembre 2020) « Les » pomperies, réserves d'émulseur et points de raccordement de moyens de pompage mobiles aux ressources en eau sont implantés hors des zones d'effet thermique d'intensité supérieure à 5 kW/m2 identifiées dans l'étude de dangers pour les phénomènes dangereux hors effet thermique transitoire. Cette prescription n'est pas applicable :
- pour un équipement qui peut être sollicité à distance par un opérateur ;
- ou lorsque, pour un scénario d'incendie considéré, l'équipement est doublé et que l'équipement redondant est situé hors des zones d'effets thermiques susmentionnées.
43-3-2. Le débit d'eau incendie, de solution moussante et les moyens en émulseur et en eau sont déterminés, justifiés par l'exploitant en fonction des scénarios définis au point 43-1 du présent arrêté et tenus à la disposition de l'inspection des installations classées en annexe du plan de défense incendie prévu au point 43-1 du présent arrêté. Ils tiennent compte de la production de solution moussante dans les conditions définies au point 43-3 du présent arrêté et du refroidissement des installations menacées dans les conditions définies au point 43-3-7 du présent arrêté.
43-3-3. Lorsque l'exploitant dispose des moyens lui permettant de réaliser les opérations d'extinction des scénarios de référence du point 43-1 du présent arrêté sans l'aide des secours publics, la définition du taux d'application et la durée de l'extinction respectent a minima les valeurs données en annexe V du présent arrêté.
Si un arrêté préfectoral, applicable au site à la date d'entrée en vigueur des présentes dispositions, prévoit des quantités supérieures, l'exploitant s'assure du respect de ces quantités dans le temps, sauf si une modification est justifiée par un changement lié :
- à la nature ou aux quantités de liquides inflammables stockés ;
- à la façon dont les liquides inflammables sont stockés (taille des réservoirs ou des rétentions) ;
- à la qualité des émulseurs employés ;
- au type de moyens d'extinction employés.
L'exploitant détermine dans son étude de dangers ou dans son plan de défense incendie :
- la chronologie de mise en œuvre des opérations d'extinction ;
- la durée de chacune des étapes des opérations d'extinction ;
- la provenance et le délai de mise en œuvre des moyens nécessaires à l'extinction ;
- la disponibilité des moyens en eau et en émulseur nécessaires pour l'accomplissement des opérations d'extinction.
43-3-4. Dès lors que la stratégie de lutte contre l'incendie de l'exploitant prévoit l'intervention des services d'incendie et de secours, la définition par l'exploitant du taux d'application et la durée de l'extinction respectent :
- soit les valeurs données en annexe VI du présent arrêté. Les moyens d'application de la solution moussante permettent soit une application douce, soit une application indirecte. L'application directe de solution moussante est interdite. L'émulseur est de classe de performance IA ou IB conformément aux normes NF EN 1568-1, NF EN 1568-2, NF EN 1568-3, ou NF EN 1568-4 (versions d'août 2008) ;
- soit a minima les valeurs données en annexe V du présent arrêté. Le préfet peut prescrire par arrêté préfectoral des taux d'application et durée d'extinction supérieurs au regard de la sensibilité des enjeux potentiellement impactés autour du site tels que décrits dans l'étude de dangers, dans la limite des exigences fixées dans le chapitre 5 de la norme NF EN 13565-2 (version de juillet 2009), et, pour les liquides miscibles à l'eau, a minima un taux d'application de 15 litres par minute et par mètre carré pour les modes d'application non prévus par cette norme ;
Dès lors que la stratégie de lutte contre l'incendie de l'exploitant prévoit l'intervention des services d'incendie et de secours :
- l'installation est dotée de plusieurs appareils d'incendie (poteaux de diamètre nominal normalisé de 100 ou 150 millimètres) qui peuvent être complétés par des réserves, implantés sur un réseau public ou privé de telle sorte que leur accessibilité et leur éloignement par rapport aux incendies potentiels présentent le maximum de sécurité d'emploi. Tout point des voies engins susceptible d'être utilisé pour l'extinction d'un incendie dans les installations se trouve à moins de 100 mètres d'un appareil d'incendie et la distance entre deux appareils est de 150 mètres maximum ;
- en cas de pompage par des moyens de secours publics, la distance entre la ressource en eau et le point d'utilisation ou la réserve à réalimenter est inférieure à 400 mètres. Une valeur supérieure peut être acceptée par le préfet par arrêté préfectoral.
43-3-5. En cas d'utilisation d'une stratégie de sous-rétentions :
- un tapis de mousse préventif d'une épaisseur minimale de 0,15 mètre est mis en place et maintenu dans les sous-rétentions où la sous-rétention en feu pourrait se déverser. Le taux d'application nécessaire à l'entretien de ce tapis préventif est au minimum de 0,2 litre par minute et par mètre carré ;
- les opérations d'extinction de la sous-rétention (surface des réservoirs déduite), avant que la sous-rétention en feu ne se déverse dans une autre sous-rétention, sont réalisées selon les modalités du point 43-3-3 du présent arrêté, si l'exploitant intervient seul, ou du point 43-3-4 du présent arrêté dans le cas d'une intervention des services de secours publics.
43-3-6. Si la stratégie de lutte contre l'incendie prévoit la mise en œuvre de plusieurs moyens d'extinction (par exemple mobiles et fixes), le taux d'application retenu pour leur dimensionnement est calculé au prorata de la contribution de chacun des moyens calculée par rapport au taux nécessaire correspondant.
Si la stratégie de lutte contre l'incendie prévoit l'utilisation de plusieurs classes d'émulseurs, le taux d'application retenu pour le dimensionnement des moyens est celui de la classe la plus pénalisante.
43-3-7.Pour la protection des installations, le dimensionnement des besoins en eau est basé sur les débits suivants :
- refroidissement d'un réservoir à axe vertical en feu: 15 litres par minute et par mètre de circonférence du réservoir ;
- refroidissement des réservoirs voisins du réservoir en feu exposés à plus de 12 kW/m2 pour le scénario de référence d'incendie de réservoir : 1 litre par minute et par mètre carré de surface exposée ou 15 litres par minute et par mètre de circonférence du réservoir ;
- refroidissement des réservoirs des rétentions et sous-rétentions contiguës exposés à plus de 12 kW/m2 pour le scénario de référence d'incendie de rétention ou de sous-rétention : 1 litre par minute et par mètre carré de surface exposée ou 15 litres par minute et par mètre de circonférence de réservoir ;
- protection des autres installations exposées à un flux thermique supérieur ou égal à 8 kW/m2 et identifiées par l'étude de dangers comme pouvant générer un phénomène dangereux par effet domino : 1 litre par minute et par mètre carré de surface exposée ou 15 litres par minute et par mètre de circonférence de réservoir. Une valeur différente peut être prescrite par arrêté préfectoral sous réserve d'une étude spécifique réalisée par l'exploitant.
43-3-8. Si le débit d'eau nécessaire à l'opération d'extinction dépasse 240 mètres cubes par heure, l'installation dispose d'un réseau maillé et sectionnable au plus près de la pomperie.
Les réseaux, les réserves en eau ou en émulseur et les équipements hydrauliques disposent de raccords permettant la connexion des moyens de secours publics (Arrêté du 24 septembre 2020) « visant à permettre l'utilisation de ces moyens ».
Des raccords de réalimentation du réseau par des moyens mobiles (Arrêté du 24 septembre 2020) « (internes ou externes) » sont prévus pour pallier un éventuel dysfonctionnement de la pomperie. (Arrêté du 24 septembre 2020) « Si » l'exploitant dispose de ses propres groupes de pompage, il dispose de moyens de pompage de secours lui permettant de pallier le dysfonctionnement de n'importe lequel de ses groupes pris individuellement.
43-3-9. L'ensemble des moyens prévus dans ce point 43-3 sont régulièrement contrôlés et entretenus pour garantir leur fonctionnement en toutes circonstances. Les dates et résultats des tests de défense incendie réalisés sont consignés dans un registre éventuellement informatisé qui est tenu à la disposition de l'inspection des installations classées.
43-4. (Arrêté du 24 septembre 2020) « Cas des stockages de récipients mobiles
Pour le cas des stockages de récipients mobiles, la définition par l'exploitant des moyens nécessaires à la lutte contre l'incendie s'appuie sur les dispositions des articles VI-4 et VI-5 de l'arrêté du 24 septembre 2020. »
43-5. Autres moyens de lutte contre l'incendie.
L'installation est dotée de moyens de lutte contre l'incendie appropriés aux risques et conformes aux règles en vigueur, notamment :
- d'extincteurs répartis sur l'ensemble du site et en particulier dans les lieux présentant des risques spécifiques, bien visibles et facilement accessibles. Les agents d'extinction sont appropriés aux risques à combattre et compatibles avec les matières stockées ;
- d'un système d'alarme interne ;
- d'un moyen permettant de prévenir les services d'incendie et de secours ;
- d'un plan des locaux facilitant l'intervention des services d'incendie et de secours avec une description des dangers pour chaque local ;
- d'un état des stocks de liquides inflammables tel que défini à l'article 30 du présent arrêté ;
- d'une réserve de produit absorbant incombustible en quantité adaptée au risque, sans être inférieure à 100 litres, et des moyens nécessaires à sa mise en œuvre. La réserve de produit absorbant est stockée dans des endroits visibles et facilement accessibles et munie d'un couvercle ou tout autre dispositif permettant d'abriter le produit absorbant des intempéries. Dans le cas de liquides miscibles à l'eau, l'absorbant peut être remplacé par un point d'eau, sous réserve que l'exploitant justifie auprès de l'inspection des installations classées de l'absence de pollution des eaux ou le traitement de ces épandages après dilution.
43-6. Consignes incendie.
Des consignes, procédures ou documents précisent :
- les dispositions générales concernant l'entretien et la vérification des moyens d'incendie et de secours ;
- l'organisation de l'établissement en cas de sinistre ;
- les moyens d'extinction à utiliser en cas d'incendie ;
- les modes de transmission et d'alerte ;
- les moyens d'appel des secours extérieurs et les personnes autorisées à effectuer ces appels ;
- les personnes à prévenir en cas de sinistre ainsi que les numéros d'appel.
43-7. Moyens complémentaires à la stratégie incendie (Arrêté du 24 septembre 2020)
En complément des moyens de lutte contre l'incendie évalués en application des dispositions des articles 43-2, 43-3 et 43-4 du présent arrêté, l'exploitant dispose de ressources et réserve en eau et émulseurs supplémentaires équivalent à 20 % de ces moyens.
Ces ressources complémentaires peuvent provenir en tout ou partie de moyens mobilisables en temps utile par l'application de protocoles d'aide mutuelle ou des conventions.
Les protocoles d'aide mutuelle ou convention sont établies dans les conditions du I. de l'article 43-3-1.
Par ailleurs, en complément de la stratégie incendie prévue à l'article 43-1, sont étudiées les modalités prévisionnelles permettant d'assurer la continuité d'approvisionnement en eau en cas de prolongation de l'incendie au-delà de 3 heures, ou le cas échéant, au-delà de la durée nécessaire à l'extinction de l'incendie. Ces modalités peuvent s'appuyer sur l'utilisation des moyens propres au site, y compris par recyclage, ou d'autres moyens privés ou publics. Le cas échéant, les délais de mise en application des solutions retenues sont précisés. Si nécessaire, les modalités d'utilisation et celles d'information du ou des gestionnaires sont précisées. Dans le cas d'un recyclage d'une partie des eaux d'extinction d'incendie, les conditions techniques et modalités prévues sont explicitées. Ce complément est tenu à disposition de l'inspection des installations classées.
Titre VII : PRÉVENTION DES POLLUTIONS
(Arrêté du 22 septembre 2021) « Le titre VII n'est pas applicable :
- aux installations relevant du I.2 de l'article 1 du présent arrêté ainsi qu'aux réservoirs aériens manufacturés de liquides inflammables au sein de ces installations ;
- aux réservoirs aériens manufacturés de liquides inflammables ou rétentions au sein des installations relevant du I.1 de l'article 1er du présent arrêté et soumis aux dispositions du présent arrêté uniquement en application du point III de l'article I. »
Titre VII-1 : ÉMISSIONS DE COMPOSÉS ORGANIQUES VOLATILS (COV)
Article 44 (Arrêté du 24 août 2017)
L'exploitant prend les dispositions nécessaires pour quantifier et limiter les émissions de COV de ses installations en considérant les techniques les plus efficaces pour la protection de l'environnement dans son ensemble, dans des conditions économiquement et techniquement viables sans prescrire l'utilisation d'une technique ou d'une technologie spécifique et en prenant en considération les caractéristiques de l'installation concernée, son implantation géographique et les conditions locales de l'environnement.
L'exploitant réalise un inventaire des sources d'émission en COV canalisés et diffus. La liste des sources d'émission est actualisée annuellement et tenue à disposition de l'inspection des installations classées.
Pour les réservoirs de stockage, l'inventaire contient également les informations suivantes : volume, produit stocké, équipement éventuel (par exemple toit flottant ou écran flottant) et des informations sur le raccordement éventuel à un dispositif de réduction des émissions.
L'exploitant tient à la disposition de l'inspection des installations classées un dossier contenant les schémas de circulation des liquides inflammables dans l'installation, la liste des équipements inventoriés et ceux faisant l'objet d'une quantification des flux de COV, les résultats des campagnes de mesures et le compte rendu des éventuelles actions de réduction des émissions réalisées.
Article 45
Les émissions de COV canalisées non méthaniques issues des réservoirs de stockage de liquides inflammables respectent les valeurs limites suivantes, les volumes de gaz étant rapportés à des conditions normalisées de température (0 °C) et de pression (101,3 kPa) après déduction de la vapeur d'eau (gaz secs) :
a) Si le flux horaire total est supérieur à 2 kg/h, la valeur limite exprimée en carbone total de la concentration de l'ensemble des composés des émissions canalisées est de 110 mg/Nm3.
b) Pour les unités de récupération de vapeurs (URV), la valeur limite exprimée en grammes par mètre cube, moyennée sur une heure, n'excède pas 1,2 fois la pression de vapeur saturante du produit collecté exprimée en kilopascal, sans toutefois dépasser la valeur de 35 g/Nm3.
c) Dans le cas de l'utilisation d'une technique d'oxydation pour l'élimination des COV, la valeur limite d'émission en COV exprimée en carbone total est de 20 mg/Nm3 ou 50 mg/Nm3 si le rendement d'épuration est supérieur à 98 %. La teneur en oxygène de référence pour la vérification de la conformité aux valeurs limites d'émission est celle mesurée dans les effluents en sortie d'équipement d'oxydation. Dans le cadre de l'étude d'impact prévue à l'article L. 122-1 du code de l'environnement, l'exploitant examine la possibilité d'installer un dispositif de récupération secondaire d'énergie. En outre, l'exploitant s'assure du respect des valeurs limites d'émission définies ci-dessous pour les oxydes d'azote (NOx), le monoxyde de carbone (CO) et le méthane (CH4) :
- NOx (en équivalent NO2) : 100 mg/m3 ;
- CH4 : 50 mg/m3 ;
- CO : 100 mg/m3.
d) Pour le cas des COV visés à l'annexe III de l'arrêté ministériel du 2 février 1998 susvisé : si le flux horaire total des composés organiques de ces substances dépasse 0,1 kg/h, la valeur limite d'émission de la concentration de l'ensemble de ces composés est de 20 mg/Nm3.
En cas de mélange de composés à la fois visés et non visés par ce point, la valeur limite de 20 mg/Nm3 ne s'impose qu'aux composés visés à ce point et une valeur de 110 mg/Nm3, exprimée en carbone total, s'impose à l'ensemble des composés des émissions canalisées.
e) Pour les COV de mentions de danger H340, H350, H350i, H360D ou H360F ou à phrases de risque R45, R46, R49, R60, R61 et composés halogénés de mentions de danger H341 ou H351, ou à phrases de risque R40 ou R68 :
- concernant les COV de mentions de danger H340, H350, H350i, H360D ou H360F ou à phrases de risque R45, R46, R49, R60, R61, une valeur limite d'émission de 2 mg/Nm3 en COV est imposée si le flux horaire maximal de l'ensemble de l'installation est supérieur ou égal à 10 g/h. Cette valeur limite se rapporte à la somme massique des différents composés ;
- concernant les émissions des composés organiques volatils halogénés de mentions de danger H341 ou H351, ou étiquetés R40 ou R68, une valeur limite d'émission de 20 mg/Nm3 est imposée si le flux horaire maximal de l'ensemble de l'installation est supérieur ou égal à 100 g/h. Cette valeur limite se rapporte à la somme massique des différents composés.
Le préfet peut accorder une dérogation aux prescriptions des deux précédents alinéas, si l'exploitant démontre, d'une part, qu'il fait appel aux meilleures techniques disponibles à un coût économique acceptable et, d'autre part, qu'il n'y a pas lieu de craindre de risque significatif pour la santé humaine et l'environnement.
Article 46
La hauteur des émissaires des rejets canalisés (différence entre l'altitude du débouché à l'air libre et l'altitude moyenne du sol à l'endroit considéré) exprimée en mètres est déterminée, d'une part, en fonction du niveau des émissions canalisées de COV à l'atmosphère, d'autre part, en fonction de l'existence d'obstacles susceptibles de gêner la dispersion des gaz.
Elle est fixée par l'arrêté d'autorisation d'exploiter ou un arrêté préfectoral complémentaire éventuellement au vu des résultats d'une étude des conditions de dispersion des gaz adaptée au site. Cette étude est obligatoire pour les rejets qui dépassent 150 kg/h de COV canalisés ou 20 kg/h dans le cas des COV visés à l'annexe III de l'arrêté ministériel du 2 février 1998 susvisé.
Pour les installations autorisées (Arrêté du 24 septembre 2020) « après le 16 novembre 2010 », cette hauteur ne peut être inférieure à 10 mètres.
Article 47
Les émissions diffuses des réservoirs de stockage sont évaluées pour les réservoirs correspondant aux critères du tableau suivant :
| catégorie DE LIQUIDE (pression de vapeur saturante Pv exprimée à 20 °C) |
VOLUME DU RÉSERVOIR au-delà duquel les émissions sont quantifiées |
catégorie A |
10 m3 |
catégorie B à Pv > 25 kPa |
10 m3 |
catégorie B à 16 kPa < Pv < 25 kPa |
50 m3 |
catégorie B à 6 kPa < Pv < 16 kPa |
100 m3 |
catégorie B à 1,5 kPa < Pv < 6 kPa |
500 m3 |
catégorie B à Pv < 1,5 kPa |
1 500 m3 |
L'exploitant quantifie les émissions diffuses des réservoirs de stockage :
- soit en utilisant les méthodes données en annexes 2, 3 et 4 du présent arrêté ;
- soit en utilisant une méthode issue de l'US EPA (US Environmental Protection Agency). Les résultats de la première application de cette méthode au réservoir concerné après la publication du présent arrêté peuvent faire l'objet d'une tierce expertise transmise à l'inspection des installations classées.
Les éléments relatifs à la quantification des émissions diffuses de COV sont mis à la disposition de l'inspection des installations classées dans le cadre du dossier prévu à l'article 44 du présent arrêté.
Cette disposition ne s'applique pas aux établissements réalisant l'évaluation des émissions par le biais du plan de gestion des solvants prévu à l'article 28-1 de l'arrêté ministériel du 2 février 1998 susvisé.
Article 48
48-1. Les valeurs limites d'émissions diffuses de COV des réservoirs d'une capacité supérieure à 1 500 mètres cubes, contenant un liquide inflammable ayant une pression de vapeur saturante à 20 °C comprise entre 1,5 et 50 kilopascals et rejetant plus de 2 tonnes par an, ne dépassent pas les valeurs correspondant à celles d'un réservoir à toit fixe de référence affectées d'un facteur de réduction défini dans le tableau suivant :
| DIAMÈTRE DU RÉSERVOIR (en m) | POURCENTAGE DE RÉDUCTION PAR RAPPORT À LA RÉFÉRENCE (avec Tr signifiant taux de rotation annuel) |
|||
| Tr < 5 | 5 < Tr < 10 | 10 < Tr < 30 | Tr > 30 | |
| D < 15 | 75 | 77 | 80 | 90 |
| 15 < D < 20 | 80 | 82 | 85 | 93 |
| 20 < D < 25 | 85 | 87 | 90 | 95 |
| 25 < D < 30 | 87 | 89 | 92 | 96 |
| 30 < D < 40 | 89 | 91 | 94 | 97 |
| 40 < D < 50 | 91 | 93 | 96 | 98 |
| 50 < D < 80 | 92 | 94 | 97 | 98,5 |
| D > 80 | 93 | 95 | 98 | 99 |
48-2. Les pourcentages de réduction exprimés ci-dessus sont remplacés par les pourcentages définis dans le tableau suivant dès lors que le rejet dépasse 2 tonnes par an pour les réservoirs contenant des liquides dont la pression de vapeur saturante à 20 °C est supérieure à 50 kilopascals ou lorsque le rejet de composés est supérieur à 200 kilogrammes par an pour les émissions de COV ou mélanges de COV de mentions de danger H340, H350, H350i, H360D ou H360F ou à phrases de risque R45, R46, R49, R60, R61 ou des composés halogénés de mentions de danger H341 ou H351, ou à phrases de risque R40 ou R68, ainsi que des COV visés à l'annexe III de l'arrêté ministériel du 2 février 1998 susvisé :
| DIAMÈTRE DU RÉSERVOIR (en m) | POURCENTAGE DE RÉDUCTION PAR RAPPORT À LA RÉFÉRENCE (avec Tr signifiant taux de rotation annuel) |
|||
| Tr < 5 | 5 < Tr < 10 | 10 < Tr < 30 | Tr > 30 | |
| D < 15 | 75 | 78 | 85 | 92 |
| 15 < D < 20 | 80 | 83 | 88 | 95 |
| 20 < D < 25 | 87 | 90 | 92 | 96 |
| 25 < D < 30 | 89 | 92 | 94 | 97 |
| 30 < D < 40 | 92 | 94 | 96 | 98 |
| 40 < D < 50 | 94 | 96 | 97 | 98,5 |
| 50 < D < 80 | 96 | 97 | 98 | 99 |
| D > 80 | 98 | 98,5 | 99 | 99,5 |
Article 49
49-1. (Arrêté du 10 février 2011) « Les réservoirs disposent de parois et d'un toit externes en surface recouverts d'une peinture d'un coefficient de chaleur rayonnée totale supérieur ou égal à 70 %. »
Les dispositions du présent article sont spécifiques aux réservoirs des terminaux d'essence.
Les réservoirs munis de toits flottants externes sont équipés d'un joint primaire pour combler l'espace annulaire situé entre la paroi du réservoir et la périphérie extérieure du toit flottant, et d'un joint secondaire fixé sur le joint primaire. Les joints sont conçus de manière à permettre une retenue globale des vapeurs de 95 % ou plus, par rapport à un réservoir à toit fixe comparable sans dispositif de retenue des vapeurs (c'est-à-dire un réservoir à toit fixe muni uniquement d'une soupape de vide et de pression).
49-2. Toutes les nouvelles installations de stockage d'essence des terminaux (Arrêté du 10 février 2011) « ainsi que les installations existantes autorisées à compter du 12 janvier 1996, » où la récupération des vapeurs est requise en application de (Arrêté du 10 février 2011) « l'article 9 » de l'arrêté du 8 décembre 1995 susvisé :
a) Sont des réservoirs à toit fixe reliés à l'URV conformément aux dispositions de l'annexe 2 de l'arrêté du 8 décembre 1995 susvisé, ou
b) Sont conçues avec un toit flottant (externe ou interne) doté de joints primaires et secondaires afin de répondre aux exigences en matière de fonctionnement fixées au point 49-1 du présent arrêté ;
Note : Le point « c) Sont des réservoirs qui disposent de parois et d'un toit externes en surface recouverts d'une peinture d'un coefficient de chaleur rayonnée totale supérieur ou égal à 70 % » est supprimé par arrêté du 10 février 2011.
49-3. Les réservoirs à toit fixe existants (Arrêté du 10 février 2011) « et ne répondant pas au point 49-2, » sont :
a) Reliés à une URV conformément aux dispositions de l'annexe 2 de l'arrêté du 8 décembre 1995 susvisé, ou
b) Equipés d'un toit flottant interne doté d'un joint primaire conçu de manière à permettre une retenue des vapeurs globales de 90 % ou plus par rapport à un réservoir comparable à toit fixe sans dispositif de retenue des vapeurs.
49-4. Les dispositions en matière de retenue des vapeurs des points 49-2 et 49-3 du présent arrêté ne s'appliquent pas aux réservoirs à toit fixe des terminaux où le stockage intermédiaire des vapeurs est autorisé conformément aux dispositions de l'arrêté du 8 décembre 1995 susvisé.
Article 50
Dans le cas où il est exercé dans le site une ou plusieurs des activités visées par les points 19 à 36 de l'article 30 de l'arrêté du 2 février 1998 susvisé, les valeurs limites d'émissions relatives aux COV définies aux points a et c de l'article 45 et dans l'article 48 du présent arrêté ne sont pas applicables aux rejets des installations.
(Arrêté du 10 février 2011) « Lorsque le flux total de COV émis par l'ensemble des sources d'émissions canalisées et diffuses du site est inférieur au flux total qui serait atteint par une application stricte des valeurs limites d'émissions canalisées et diffuses définies par la réglementation applicable en chaque point de rejet canalisé ou diffus, l'exploitant peut ne pas respecter les valeurs limites d'émissions définies par le présent arrêté, à l'exception :
- des valeurs limites définies aux points d et e de l'article 45 du présent arrêté ;
- des valeurs limites définies conformément aux dispositions de l'article 49 du présent arrêté. »
Titre VII-2 : PROTECTION DES RESSOURCES EN EAUX ET DES MILIEUX AQUATIQUES
Article 51 (Arrêté du 24 août 2017)
Le rejet respecte les dispositions de l'article 22 du 2 février 1998 modifié en matière de :
- compatibilité avec le milieu récepteur (article 22-2-I) ;
- suppression des émissions de substances dangereuses (article 22-2-III).
Article 52
Les ouvrages de prélèvements d'eau dans le lit des cours d'eau comportent des dispositifs maintenant dans ce lit un débit minimal garantissant en permanence la vie, la circulation et la reproduction des espèces qui peuplent les eaux, sauf s'il s'agit d'un prélèvement pour assurer l'extinction d'un incendie. Ils ne gênent pas le libre écoulement des eaux.
Les installations de prélèvement d'eau hors eau incendie sont munies d'un dispositif de mesure totalisateur. Ce dispositif est relevé journellement si le débit prélevé est susceptible de dépasser 100 mètres cubes par jour, hebdomadairement si ce débit est inférieur. Ces résultats sont portés sur un registre éventuellement informatisé.
Article 53
Tous les effluents liquides susceptibles d'être pollués sont canalisés.
Il est interdit d'établir des liaisons directes entre le milieu récepteur et les réseaux de collecte des effluents devant subir un traitement ou être détruits.
Un dispositif permet l'isolement des réseaux de collecte des effluents pollués ou susceptibles d'être pollués de l'établissement par rapport à l'extérieur. Ce dispositif est maintenu en état de marche, signalé et actionnable en toute circonstance localement ou à partir d'un poste de commande. Son entretien préventif et sa mise en fonctionnement sont définis par consigne.
Un schéma des réseaux d'eaux et un plan du réseau de collecte des effluents liquides sont établis par l'exploitant, régulièrement mis à jour, notamment après chaque modification notable, et datés. Ils sont tenus à la disposition de l'inspection des installations classées ainsi que des services d'incendie et de secours.
Ces documents font notamment apparaître :
- l'origine et la distribution de l'eau d'alimentation ;
- les secteurs collectés et les réseaux associés ;
- les ouvrages de toutes sortes tels que les points de branchement, regards, avaloirs, postes de relevage, postes de mesure, vannes manuelles et automatiques ou compteurs ;
- les ouvrages d'épuration interne avec leur point de contrôle et les points de rejet de toute nature (interne ou au milieu).
Les réseaux de collecte des effluents sont conçus et aménagés de manière à être curables, étanches et résister dans le temps aux actions physiques et chimiques des effluents ou produits susceptibles d'y transiter.
L'exploitant s'assure par des contrôles appropriés et préventifs de leur bon état et de leur étanchéité.
Les effluents liquides ne dégradent pas les réseaux de collecte.
Les collecteurs véhiculant des eaux polluées par des liquides inflammables ou susceptibles de l'être, sont équipés d'une protection efficace contre le risque de propagation de flammes.
Article 54 (Arrêté du 24 août 2017)
54-1. Les dispositions figurant aux alinéas de l'article 43-1° de l'arrêté du 2 février 1998 s'appliquent.
Les volumes nécessaires de confinement sont déterminés au vu de l'étude de dangers. Les organes de commande nécessaires à la mise en service de ces volumes sont actionnables en toute circonstance.
54-2. La dilution des effluents est interdite. En aucun cas elle ne constitue un moyen de respecter les valeurs seuils de rejets fixées ci-dessous.
Dans le cas où le rejet s'effectue dans le même milieu que le milieu de prélèvement, la conformité du rejet par rapport aux valeurs limites d'émissions pourra être évaluée selon les modalités définies au 2e alinéa de 1'article 32 de l'arrêté du 2 février 1998 modifié.
Les effluents rejetés ne comportent pas :
- de matières flottantes ;
- de produits susceptibles de dégager dans le milieu naturel directement ou indirectement des gaz ou vapeurs toxiques, inflammables ou odorantes.
Concernant les hydrocarbures el les produits générant une demande chimique en oxygène (DCO), des rejets compatibles avec les valeurs seuils de rejet définies ci-dessous sont néanmoins autorisés ;
- de produits susceptibles de nuire à la conservation des ouvrages, ainsi que des matières déposables ou précipitables qui, directement ou indirectement, sont susceptibles d'entraver le bon fonctionnement des ouvrages.
La température des effluents rejetés doit être inférieure à 30 °C sauf si la température en amont dépasse 30 °C. Dans ce cas, la température des effluents rejetés ne doit pas être supérieure à la température de la masse d'eau amont. Pour les installations raccordées, la température des effluents rejetés pourra aller jusqu'à 50 °C, sous réserve que l'autorisation de raccordement ou la convention de déversement le prévoit ou sous réserve de l'accord préalable du gestionnaire de réseau. Leur pH doit être compris entre 5,5 et 8,5.
Si l'établissement ne comporte pas d'autres activités susceptibles de modifier la qualité des eaux rejetées, les rejets des effluents liquides dans le milieu récepteur respectent a minima les valeurs limites définies ci-dessous :

En fonction de l'étude d'impact ou de l'étude d'incidence, l'arrêté d'autorisation fixe le débit maximal journalier des rejets (hors eaux pluviales non contaminées) les valeurs limites des flux massiques en polluants visés au paragraphe précédent.
Lorsque le débit maximal journalier autorisé dépasse 10 % du débit moyen interannuel du cours d'eau au sens de l'article L. 214-18 du code de l'environnement ou s'il est supérieur à 100 mètres cubes, l'arrêté d'autorisation fixe également une valeur limite instantanée, exprimée en mètres cubes par heure ainsi qu'une limite à la moyenne mensuelle du débit journalier.
54-3. Les réseaux d'eaux pluviales susceptibles de collecter des liquides inflammables en cas de sinistre disposent d'un organe de sectionnement situé avant le point de rejet au milieu naturel.
Les dispositifs de rejet des effluents liquides sont aménagés de manière à :
- réduire autant que possible la perturbation apportée au milieu récepteur, aux abords du point de rejet, en fonction de l'utilisation de l'eau à proximité immédiate et à l'aval de celui-ci ;
- permettre une bonne diffusion des effluents dans le milieu récepteur.
A la sortie de l'installation de traitement et avant rejet au milieu naturel des effluents liquides, l'exploitant prévoit un point de prélèvement d'échantillons et des points permettant la mesure de la température et la concentration en polluant. Ces points sont aménagés de manière à être aisément accessibles et permettre des interventions en toute sécurité.
54-4. La conception et la performance des installations de traitement ou de pré-traitement des effluents liquides permettent de respecter les valeurs limites imposées au point 54-2 du présent arrêté.
Les installations de traitement ou de pré-traitement sont entretenues, exploitées et surveillées de manière à réduire au minimum les durées d'indisponibilité ou à faire face aux variations des caractéristiques des effluents bruts (notamment le débit, la température et la composition).
En particulier, les décanteurs et débourbeurs, s'ils existent, sont contrôlés au moins une fois par semestre et sont vidangés (éléments surnageants et boues) et curés au moins une fois par an. Le bon fonctionnement de l'obturateur est également vérifié une fois par an.
Si une indisponibilité ou un dysfonctionnement des installations de traitement est susceptible de conduire à un dépassement des valeurs limites imposées au présent article, l'exploitant prend les dispositions nécessaires pour réduire une éventuelle pollution émise en limitant ou en arrêtant si besoin le rejet.
54-5. Les emplacements autres que les rétentions (par exemple stations de pompage, manifolds, prises d'échantillon ou postes de répartition), où un écoulement accidentel de liquide inflammable peut se produire, comportent un sol étanche permettant de canaliser les fuites et les égouttures vers des rétentions spécifiques. Cette disposition n'est pas applicable aux installations dédiées aux liquides inflammables non dangereux pour l'environnement.
54-6. En matière de surveillance des émissions, les dispositions de l'article 58 de l'arrêté du 2 février 1998 modifiés s'appliquent.
Elles concernent notamment :
- la mise en œuvre d'un programme de surveillance des émissions selon les principes énoncés à l'article 58-I de l'arrêté du 2 février 1998 modifié et relativement aux substances visées à l'article 54-2 du présent arrêté ;
- le recours aux méthodes de référence pour l'analyse des substances dans l'eau (article 58-III) ;
- la réalisation de contrôles externes de recalage (article 58-III) ;
- les modalités de transmission des résultats d'autosurveillance à l'inspection (article 58-IV).
A l'exception des installations dont les rejets sont uniquement liés à des opérations ponctuelles (opérations de lavage par exemple), cette surveillance intègre a minima une mesure trimestrielle de l'ensemble des polluants et paramètres (Arrêté du 24 septembre 2020) « identifiés dans le programme de surveillance ».
Si le flux moyen journalier ou, dans le cas de rejets ponctuels, le flux maximal journalier de DCO est supérieur à 300 kilogrammes en contribution nette, ou si le flux moyen journalier ou, dans le cas de rejets ponctuels, le flux maximal journalier d'hydrocarbures totaux est supérieur à 10 kilogrammes en contribution nette, une mesure journalière ou une mesure lors de chaque épisode de rejet ponctuel est réalisée dans les rejets à partir d'un échantillon représentatif sur une durée de vingt-quatre heures ou sur toute la durée du rejet si il est ponctuel.
Dans le cas d'un rejet au milieu naturel, si le flux moyen journalier ou, dans le cas de rejets ponctuels, le flux maximal journalier de DCO est supérieur à 5 tonnes en contribution nette, ou si le flux moyen journalier ou, dans le cas de rejets ponctuels, le flux maximal journalier d'hydrocarbures totaux est supérieur à 20 kilogrammes en contribution nette, l'exploitant fait réaliser des mesures en aval de la zone de mélange de son rejet à une fréquence mensuelle ou annuelle dans le cas de rejets ponctuels, pour démontrer que les critères de bon état de la masse d'eau sont bien respectés à l'aval de la zone de mélange du rejet.
Article 55
Les sites disposant d'une capacité totale réelle de liquides inflammables (hors fioul lourd) supérieure ou égale à 1 500 mètres cubes sont munis au minimum d'un puits de contrôle (piézomètre) en amont et de deux puits de contrôle en aval du site par rapport au sens d'écoulement de la nappe.
Le nombre exact de puits de contrôle et leur implantation sont définis suite aux conclusions d'une étude relative au contexte hydrogéologique du site ainsi qu'aux risques de pollution des sols.
Le niveau piézométrique et la qualité des eaux sont analysés de manière semestrielle. L'eau prélevée fait l'objet de mesures de substances fixées par arrêté préfectoral afin de caractériser une éventuelle pollution de la nappe au regard de l'activité actuelle du site.
Les résultats de la surveillance sont transmis à l'inspection des installations classées à une fréquence annuelle et sont accompagnés d'un commentaire sur les mesures correctives prises ou envisagées en cas de besoin.
La qualité des eaux est également vérifiée au minimum deux fois pendant les sept jours suivant chaque perte de confinement notable affectant une zone non étanche. En cas de pollution, l'inspection des installations classées en est immédiatement avisée.
Titre VII-3 : DÉCHETS
Article 56
L'exploitant prend les dispositions nécessaires dans la conception, l'aménagement, et l'exploitation de ses installations pour assurer une bonne gestion des déchets de son entreprise et en limiter la production.
Article 57
L'exploitant effectue à l'intérieur de son établissement la séparation des déchets (dangereux ou non) de façon à faciliter leur traitement ou leur élimination dans des filières spécifiques. En particulier, les déchets (Arrêté du 10 février 2011) « dangereux » sont stockés séparément des autres catégories de déchets.
Article 58
Les déchets et résidus produits, entreposés dans l'établissement, avant leur traitement ou leur élimination, doivent l'être dans des conditions ne présentant pas de risques de pollution (prévention d'un lessivage par des eaux pluviales, d'une pollution des eaux superficielles et souterraines, des envols et des odeurs) pour les populations avoisinantes et l'environnement.
Article 59
L'exploitant élimine ou fait éliminer les déchets produits dans des conditions propres à garantir les intérêts visés à l'article L. 511-1 du code de l'environnement. Il s'assure que les installations utilisées pour cette élimination sont régulièrement autorisées à cet effet.
Article 60
Le stockage des boues avant leur traitement ou leur élimination est limité de façon à ne pas présenter de risques de pollution, ni de dangers ou inconvénients tels que définis à l'article L. 511-1 du code de l'environnement.
Les fiches de suivi des vidanges et des curages des séparateurs-débourbeurs visés au point 54-4 du présent arrêté, ainsi que les bordereaux de traitement des déchets résultant de ces nettoyages qui auront été détruits ou retraités sont tenus à la disposition de l'inspection des installations classées.
Article 61
L'exploitant tient une comptabilité régulière et précise des déchets produits par son établissement.
Titre VII-4 : NUISANCES SONORES ET VIBRATIONS
Article 62
L'usage d'appareils de communication par voie acoustique (par exemple sirènes, avertisseurs, haut-parleurs), gênant pour le voisinage, est interdit, sauf si leur emploi est exceptionnel et réservé à la prévention et au signalement d'incidents graves ou d'accidents ou si leur usage est prescrit au titre d'une autre réglementation.
Titre VII-5 : ODEURS
Article 63
L'exploitant prend les dispositions nécessaires afin que l'ensemble des installations ne soit pas à l'origine de gaz odorants, susceptibles d'incommoder le voisinage, de nuire à la santé ou à la sécurité publique.
Titre VIII : ABROGATION DE TEXTES ET MODIFICATION DE TEXTES EXISTANTS
64-1. Les dispositions du présent arrêté se substituent, à leurs dates d'entrée en vigueur, aux dispositions des arrêtés ministériels suivants, qui sont abrogés :
- arrêté du 4 septembre 1967 relatif aux règles d'aménagement et d'exploitation des usines de traitement de pétrole brut, de ses dérivés et résidus ;
- arrêté du 9 novembre 1972 fixant les règles d'aménagement et d'exploitation des dépôts d'hydrocarbures liquides ;
- arrêté du 12 septembre 1973 relatif aux règles d'aménagement et d'exploitation des usines de traitement de pétrole brut, de ses dérivés et résidus ;
- arrêté du 19 novembre 1975 relatif aux règles d'aménagement et d'exploitation des dépôts d'hydrocarbures des titulaires d'autorisations spéciales d'importation de produits pétroliers ;
- arrêté du 4 septembre 1986 relatif à la réduction des émissions atmosphériques d'hydrocarbures provenant des activités de stockage.
64-2. Il est inséré après le quinzième alinéa de l'article 1er de l'arrêté du 2 février 1998 susvisé :
(Arrêté du 10 février 2011) « Les points a à e de l'article 27.7 du présent arrêté ne s'appliquent pas au stockage en réservoirs aériens manufacturés de liquides inflammables exploités dans un stockage soumis à autorisation au titre de la rubrique 1432 de la législation des installations classées pour la protection de l'environnement. »
64-3. Le point 17 de l'article 30 de l'arrêté du 2 février 1998 susvisé est abrogé.
Article 65
Le directeur général de la prévention des risques est chargé de l'exécution du présent arrêté, qui sera publié au Journal officiel de la République française.
Fait à Paris, le 3 octobre 2010.
Pour le ministre et par délégation :
Le directeur général
de la prévention des risques,
L. Michel
ANNEXE 1
FORMULE DE CALCUL DE LA SURFACE CUMULÉE DES ÉVENTS D'UN RÉSERVOIR À TOIT FIXE ET D'UN RÉSERVOIR À ÉCRAN FLOTTANT
La surface cumulée Se des évents d'un réservoir à toit fixe et d'un réservoir à écran flottant est calculée selon la formule suivante :

ρair : masse volumique de l'air (= 1,3 kg/m3).
Cd : coefficient aéraulique de l'évent (entre 0,6 et 1).
Δp : surpression devant être évacuée en pascals.
Ufb : débit de vaporisation en normaux mètres cubes par heure d'air, calculé selon la formule suivante :

Aw : surface de robe au contact du liquide inflammable contenu dans le réservoir, en mètres carrés (avec une hauteur plafonnée à 9 mètres).
Hv : chaleur de vaporisation en joules par gramme.
M : masse molaire moyenne de la phase gazeuse évacuée en grammes par mole.
Ri : coefficient de réduction pour prendre en compte l'isolation thermique ; ce facteur est pris égal à 1 correspondant à l'absence de toute isolation.
T : température d'ébullition du liquide inflammable en Kelvin.
ANNEXE 2
ÉVALUATION DES ÉMISSIONS DIFFUSES DE COV D'UN RÉSERVOIR SELON LA MÉTHODE SIMPLIFIÉE
1. Domaine d'application de la méthode simplifiée :
La méthode présentée dans cette annexe est applicable à l'ensemble des réservoirs à toit fixe et des réservoirs à écran ou à toit flottant, à l'exception :
- des réservoirs calorifugés ;
- des réservoirs maintenus à température constante ;
- des réservoirs équipés de soupapes afin de limiter les émissions par respiration ;
- des réservoirs dont le taux de rotation annuel de produit est supérieur à 36 ;
- des réservoirs dont la hauteur moyenne de liquide est inférieure à 40 % de la hauteur de la partie cylindrique du réservoir ;
- des réservoirs contenant des liquides dont la pression de vapeur saturante à 20 °C est inférieure à 1,5 kilopascal ;
- des réservoirs à toit flottant externe muni de deux barres de guidage ou plus ;
- des réservoirs à toit flottant interne dont le nombre de jambes de toit et de colonnes de toit est 30 % supérieur à la valeur conseillée par la méthode EPA.
Concernant l'ensemble des cas évoqués ci-dessus, l'exploitant utilise la méthode d'évaluation des émissions donnée en annexe 3 ou 4 suivant la configuration du réservoir concerné.
2. Évaluation des émissions totales :
Les émissions totales annuelles d'un réservoir sont calculées avec la formule suivante :
ET = ER + EM
ET : émissions totales en tonnes par an.
ER : émissions par respiration en tonnes par an.
EM : émissions générées par les mouvements de produit en tonnes par an.
3. Réservoir à toit fixe :
Emission par respiration (t/an) : E11 = K1 × D1,73 × H0,51 × C
K1 = 7.10-7 × Pv × Mmol avec :
Pv : pression de vapeur saturante du liquide inflammable en mbar (prise à 20 °C par défaut).
Mmol : masse molaire de la phase gazeuse (1) émise en grammes par mole.
(1) Dans le cadre d'une coupe pétrolière ou d'un mélange, la composition de la phase gazeuse peut différer de celle de la phase liquide (fractions plus volatiles surreprésentées dans la phase gazeuse par rapport à la phase liquide).
D : diamètre du réservoir en mètres.
H : hauteur du réservoir en mètres.
C : coefficient de couleur, conformément au tableau ci-dessous :
| COULEUR EXTERNE DU RÉSERVOIR | C |
Aluminium brillant |
1,1 |
Aluminium moyen |
1,2 |
Aluminium mat |
1,4 |
Aluminium métal poli |
0,8 |
Blanc brillant |
0,8 |
Blanc mat (référence) |
1,0 |
Brun clair |
1,4 |
Crème |
1,1 |
Crème usé |
1,2 |
Gris clair |
1,4 |
Gris moyen |
1,5 |
Gris moyen usé |
1,6 |
Gris foncé |
1,7 |
Noir |
1,8 |
Rouge primaire |
1,7 |
Vert sombre |
1,7 |
Emission générée par les mouvements (t/an) : E12 = K2 × Q
K2 = 4,11.10-8 × Pv × Mmol avec :
Pv : pression de vapeur saturante du liquide inflammable en mbar (prise à 20 °C par défaut).
Mmol : masse molaire de la phase gazeuse (1) émise en grammes par mole.
(1) Dans le cadre d'une coupe pétrolière ou d'un mélange, la composition de la phase gazeuse peut différer de celle de la phase liquide (fractions plus volatiles surreprésentées dans la phase gazeuse par rapport à la phase liquide).
Q : volume de produit transféré annuellement en mètres cubes et générant une variation de niveau dans le réservoir.
Emission du réservoir à toit fixe (t/an) : E1 = E11 + E12
4. Réservoir à toit flottant :
Emission par évaporation directe (t/an) :
E21 = K3 × (J1 + J2 × Vn) × D
K3 = 1,1.10-6 × Pv × Mmol (sauf pour le pétrole brut : K3 = 0,007) avec :
Pv : pression de vapeur saturante du liquide inflammable en mbar (prise à 20 °C par défaut).
Mmol : masse molaire de la phase gazeuse (1) émise en grammes par mole.
(1) Dans le cadre d'une coupe pétrolière ou d'un mélange, la composition de la phase gazeuse peut différer de celle de la phase liquide (fractions plus volatiles surreprésentées dans la phase gazeuse par rapport à la phase liquide).
D : diamètre du réservoir en mètres.
V : vitesse moyenne annuelle du vent sur le site considéré en kilomètres par heure.
J1 et J2 : coefficients du joint de toit flottant.
n : coefficient de vent lié à la nature du joint.
Ces deux derniers coefficients sont choisis conformément au tableau ci-dessous, pour les types de joints schématisés au point 6 du B de la présente annexe.
| TYPE DE JOINT DE TOIT FLOTTANT | J1 | J2 | n |
PM |
3,22 | 0,10 | 1,91 |
PM/PS |
1,24 | 0,10 | 1,55 |
PM/JS |
0,77 | 0,15 | 1,19 |
JL |
1,24 | 0,15 | 1,37 |
JL/EP |
0,82 | 0,15 | 1,23 |
JL/JS |
0,63 | 0,10 | 1,20 |
JG |
3,65 | 0,03 | 2,87 |
J/EP |
2,04 | 0,01 | 3,02 |
JG/JS |
1,36 | 0,001 | 3,65 |
Emission générée par les mouvements (t/an) :
E22 = K4 × Q × M/D
K4 = 5.10-3 sauf pour le pétrole brut où K4 = 2,5.10-2
Q : volume de produit transféré annuellement en mètres cubes et générant une variation de niveau dans le réservoir.
M : coefficient de mouillage fonction de l'état des parois, conformément aux valeurs suivantes :
M = 0,0015 pour les parois neuves ou légèrement oxydées.
M = 0,0075 pour les parois très oxydées.
M = 0,15 pour les parois rugueuses.
D : diamètre du réservoir en mètres.
Emission du réservoir à toit flottant (t/an) : E1 = E21 + E22
5. Réservoir à écran flottant interne :
Emission par évaporation directe (t/an) :
E31 = K5 × [(S + P).D2 + (F + A).D + B]
K5 = 1,8.10-7 × Pv × Mmol (sauf pour le pétrole brut : K5 = 0,0013) avec :
Pv : pression de vapeur saturante du liquide inflammable en mbar (prise à 20 °C par défaut).
Mmol : masse molaire de la phase gazeuse (1) émise en grammes par mole.
(1) Dans le cadre d'une coupe pétrolière ou d'un mélange, la composition de la phase gazeuse peut différer de celle de la phase liquide (fractions plus volatiles surreprésentées dans la phase gazeuse par rapport à la phase liquide).
D : diamètre du réservoir en mètres.
F : coefficient de joint de l'écran flottant, conformément aux valeurs suivantes, pour les types de joint schématisés au point 6 du B de la présente annexe :
| TYPE DE JOINT DE TOIT FLOTTANT | F |
PM |
14,9 |
PM/PS |
4,0 |
PM/JS |
1,5 |
JL |
4,1 |
JL/EP |
1,8 |
JL/JS |
0,8 |
JG |
17,1 |
J/EP |
8,5 |
JG/JS |
5,6 |
S et P : respectivement, coefficient de structure de l'écran interne et coefficient de perméation de l'écran interne. Ces coefficients sont choisis conformément au tableau ci-dessous :
| ÉCRAN | POTEAUX | S | P |
Soudé/collé |
Avec | 0,45 | 0 |
Autre |
Avec | 0,45 | 0,56 |
Soudé |
Sans | 0,12 | 0 |
Soudé/collé |
Sans | 0,12 | 0,56 |
A et B : coefficients de configuration du réservoir, respectivement égaux à 1,3 et 220.
Emission générée par les mouvements (t/an) :
E32 = K6 × Q × M/D
K6 = 7,5.10-3 sauf pour le pétrole brut où K6 = 3,75.10-2
Q : volume de produit transféré annuellement en mètres cubes et générant une variation de niveau dans le réservoir.
M : coefficient de mouillage fonction de l'état des parois, conformément aux valeurs suivantes :
M = 0,0015 pour les parois neuves ou légèrement oxydées.
M = 0,0075 pour les parois très oxydées.
M = 0,15 pour les parois rugueuses.
D : diamètre du réservoir en mètres.
Emission du réservoir à écran flottant interne (t/an) :
E1 = E21 + E22
6. Schématisation des différents types de joints mentionnés :

ANNEXE 3
ÉVALUATION DES ÉMISSIONS DIFFUSES DE COV D'UN RÉSERVOIR À TOIT FIXE SELON LA MÉTHODE EPA
A. – Domaine d'application de la méthode :
La méthode présentée dans cette annexe n'est applicable qu'aux réservoirs à toit fixe dont la pression interne est proche de la pression atmosphérique. Elle a également plus spécifiquement vocation à être appliquée pour les réservoirs à toit fixe dont la configuration ne permet pas l'application de la méthode simplifiée donnée en annexe 2 du présent arrêté.
B. – Évaluation des émissions totales par an :
Les émissions totales annuelles d'un réservoir sont calculées avec la formule suivante :
ET = ER + EM
ET : émissions totales en tonnes par an.
ER : émissions par respiration en tonnes par an.
EM : émissions générées par les mouvements de produit en tonnes par an.
C. – Évaluation des émissions annuelles par respiration :
ER = 365.Vv.Dv.KE.KS
ER : émissions par respiration en kilogrammes par an.
Vv : volume d'espace libre au-dessus du liquide en mètres cubes (cf. partie 1 de cette annexe pour mémoire).
Dv : densité de la vapeur de solvant de l'air du volume libre en kilogrammes par mètres cubes (cf. partie 2 de cette annexe).
KE : coefficient d'expansion de la phase vapeur (cf. partie 3 de cette annexe).
KS : facteur de saturation de la phase vapeur (cf. partie 4 de cette annexe).
1. Détermination de Vv (pour mémoire) :
Vv = π.R2c.hv
Vv : volume d'espace libre au-dessus du liquide en mètres cubes.
Rc : rayon du réservoir en mètres.
hv : hauteur équivalente de la phase vapeur en mètres (hauteur d'un cylindre dont le rayon est égal à celui de l'espace rempli de vapeurs y compris le volume du cône ou du dôme surmontant la partie cylindrique du réservoir).
hv = hc - hL + hE
hc : hauteur de la partie cylindrique du réservoir en mètres.
hL : hauteur moyenne du liquide en mètres.
hE : hauteur équivalente du toit du réservoir en mètres.
Pour un toit conique, la hauteur hE est déterminée grâce aux équations suivantes :

Avec : hT0 = PT0.RC
hT0 : hauteur de la partie conique du réservoir en mètres.
RC : rayon de la partie cylindrique du réservoir en mètres.
PT0 : pente de la partie conique du toit (rapport de distances sans unité). Si cette pente est inconnue, la valeur par défaut est 0,0625.
Pour un toit en forme de dôme, la hauteur hE est calculée selon l'équation suivante :

![]()
hT0 : hauteur du dôme en mètres.
RC : rayon du réservoir en mètres.
RD : rayon du dôme en mètres.
2. Détermination de Dv :
En supposant que la vapeur se comporte comme un gaz parfait :

Dv : densité de la vapeur de solvant de l'air du volume libre en grammes par mètres cubes.
MV : masse molaire de la vapeur en grammes par mole.
PVA : pression de vapeur saturante à la surface du liquide à la température journalière moyenne en pascals.
R = 8,314 J/(mol.K).
TLS : température journalière moyenne à la surface du liquide en Kelvin.
La masse molaire moyenne Mv est celle de la substance contenue dans le réservoir (corps pur) ou déterminée à partir de la composition de la phase liquide s'il s'agit d'un mélange. Dans ce dernier cas, Mv est calculée avec la formule suivante :
![]()

Mi : masse molaire du composé i en grammes par mole.
Yi : fraction molaire du composé i dans la phase vapeur.
Pi : pression de vapeur partielle du composant i ou pression de vapeur saturante du composant i multipliée par la fraction molaire dans le liquide, en kilopascals.
Pva : pression de vapeur saturante totale du liquide stocké en kilopascals, somme des pressions de vapeur saturantes de tous les constituants PVA = ΣPi
La pression de vapeur saturante à la surface du liquide à la température journalière moyenne du liquide peut être calculée au moyen de la loi d'Antoine :

Pi : pression de vapeur saturante à la surface du liquide à la température journalière moyenne (les constantes d'Antoine retenues sont en adéquation avec l'unité de pression choisie).
TLS : température journalière moyenne à la surface du liquide en degrés Celsius.
Ai, Bi, Ci : constantes d'Antoine du composé i.Bi et Ci sont exprimés en degrés Celsius.
La température moyenne TLS est calculée grâce à l'équation suivante :
TLS = 0,44.TAM + 0,56.TLM + 0,00387.α.I
TLS : température journalière moyenne à la surface du liquide en Kelvin.
TAM : température ambiante moyenne en Kelvin.
TLM : température du liquide en Kelvin.
α : absorbance solaire du revêtement du réservoir, conformément aux valeurs suivantes :
| COULEUR EXTERNE DU RÉSERVOIR | α (SUIVANT L'ÉTAT DU RÉSERVOIR) | |
| Bon état | Mauvais état | |
| Aluminium brillant | 0,39 | 0,49 |
| Aluminium mat | 0,60 | 0,68 |
| Aluminium métal poli | 0,10 | 0,15 |
| Blanc | 0,17 | 0,34 |
| Brun | 0,43 | 0,55 |
| Crème | 0,35 | 0,49 |
| Gris clair | 0,54 | 0,63 |
| Gris moyen | 0,68 | 0,74 |
| Marron | 0,58 | 0,67 |
| Noir | 0,97 | 0,97 |
| Rouge primaire | 0,89 | 0,91 |
| Rouille | 0,43 | 0,55 |
| Vert sombre | 0,89 | 0,91 |
I : facteur d'insolation journalière en joules par centimètre carré par jour.
Nota. – Cette équation n'est pas utilisable pour les réservoirs calorifugés. Dans ce cas, la température journalière moyenne à la surface du liquide est déterminée par des mesures de température à la surface du liquide.
La température moyenne ambiante moyenne journalière TAM peut être calculée par l'équation suivante :

TAM : température ambiante moyenne journalière en Kelvin.
TAmax : température ambiante maximum journalière en Kelvin.
TAmin : température ambiante minimum journalière en Kelvin.
La température de la masse du liquide TLM est calculée par la formule suivante :
TLM = TAM + 3,33.α - 0,55
TAM : température ambiante moyenne journalière en Kelvin.
TLM : température du liquide dans sa masse en Kelvin.
α : absorbance solaire du revêtement du réservoir.
3. Détermination de KE :

KE : coefficient d'expansion de la phase vapeur (> 0).
TLS : température journalière moyenne à la surface du liquide en Kelvin.
PA : pression atmosphérique en pascals.
PVA : pression de vapeur saturante à la surface du liquide à la température journalière moyenne en pascals.
ΔTv = 0,72.ΔTA + 0,0137.α.1
ΔTv : amplitude thermique journalière de la vapeur en Kelvin.
ΔTA : amplitude thermique journalière ambiante en Kelvin.
α : absorbance solaire du revêtement du réservoir (cf. tableau au point 2).
I : facteur d'insolation journalière en joules par centimètre carré par jour.
ΔTA est estimé de la façon suivante :
ΔTA = TAmax - TAmin
ΔTA : amplitude thermique journalière ambiante en Kelvin.
TAmax : température ambiante journalière maximale en Kelvin.
TAmin : température ambiante journalière minimale en Kelvin.
ΔPV = Pvmax - Pvmin
ΔPV : amplitude journalière de pression en kilopascals.
Pvmax : pression de vapeur saturante à la température maximale de la surface du liquide en pascals (déterminé avec l'équation d'Antoine à TLSmax).
Pvmin : pression de vapeur saturante à la température minimale de la surface du liquide en pascals (déterminé avec l'équation d'Antoine à TLSmin).
PS est calculée par la formule :
ΔPS = PSmax + PSmin
ΔPS : amplitude de tarage de la soupape de mise à l'atmosphère en pascals.
PSmax : valeur absolue de la pression de tarage de la soupape (émission) en pascals.
PSmin : valeur absolue de la pression de tarage de la soupape (admission) en pascals.
Nota. – Si les valeurs des pressions de tarage ne sont pas disponibles, la valeur par défaut de 200 pascals est retenue pour PSmin et PSmax.
Si les pressions de tarage de la soupape de mise à l'atmosphère sont supérieures à 7 000 pascals, les pertes par respiration sont négligées.
Si la valeur obtenue pour KE est négative, le réglage de la soupape est considéré comme suffisamment élevé pour empêcher les pertes par respiration. Dans ce cas, KE est égal à 0.
4. Détermination de KS :

KS : facteur de saturation de la phase vapeur.
PVA : pression de vapeur saturante à la surface du liquide à la température journalière moyenne en kilopascals.
hv : hauteur équivalente de la phase vapeur en mètres.
D. – Évaluation des émissions annuelles générées par les mouvements de produit :

EM : pertes annuelles en fonctionnement en kilogrammes par an.
TAM : température moyenne annuelle en Kelvin.
Mv : masse molaire moyenne de la vapeur en kilogrammes par mole.
PVA : pression de vapeur saturante à la température moyenne journalière de la surface du liquide en pascals.
Q : volume de produit transféré annuellement en mètres cubes et générant une variation de niveau dans le réservoir.
KN : facteur de saturation :
KN = 1 pour un nombre de rotation annuel inférieur ou égal à 36 ;
KN = (180 + N)/6.N pour un nombre de rotation annuel supérieur à 36.
KP : facteur lié au produit stocké :
KP = 0,75 pour le pétrole brut.
KP = 1 pour les autres liquides inflammables.
ANNEXE 4
ÉVALUATION DES ÉMISSIONS DIFFUSES DE COV D'UN RÉSERVOIR À TOIT FLOTTANT SELON LA MÉTHODE EPA
A. – Domaine d'application de la méthode :
La méthode présentée dans cette annexe a vocation à être appliquée pour les réservoirs à toit flottant dont la configuration ne permet pas l'application de la méthode simplifiée donnée en annexe 2 du présent arrêté et :
- contenant des liquides non bouillants et de pression de vapeur saturante comprise entre 0,7 et 101,3 kilopascals (ou inférieure à la pression atmosphérique sur le site) ;
- pour une vitesse moyenne de vent inférieure ou égale à 6,7 mètres par seconde dans le cas des réservoirs à toit flottant externe (la vitesse du vent n'influe pas sur les autres types de réservoirs à toit flottant) ;
- de diamètre supérieur à 6 mètres.
Elle ne s'applique pas dans les cas où :
- les liquides sont bouillants ou instables ;
- pour les produits pétroliers, la pression de vapeur saturante n'est pas connue ;
- les réservoirs disposent de joints détériorés ou devenus significativement perméables au liquide stocké ;
- les réservoirs à toit flottant interne ne respirent pas librement à l'atmosphère (munis de soupapes, inertés ou autres configurations équivalentes).
B. – Évaluation des émissions totales par an :
Les émissions totales annuelles d'un réservoir sont calculées avec la formule suivante :
ET = EP + EM
ET : émissions totales en tonnes par an.
EP : émissions par perméabilité en tonnes par an.
EM : émissions générées par les mouvements de produit en tonnes par an.
C. – Emissions par perméabilité :
Ces émissions s'expriment de la façon suivante :
EP = [(FR) + (FF) + (FD)].P.Mv.Kc
EP : émissions annuelles par perméabilité en kilogrammes par an.
FR : facteur de perte au joint périphérique en kilogrammes-mole par an.
FF : facteur total de perte aux joints des accessoires en kilogrammes-mole par an.
FD : facteur total de perte par perméabilité de l'écran (uniquement pour les toits flottants internes équipés d'écrans boulonnés) en kilogrammes-mole par an.
P* : fonction de pression de vapeur saturante.
Mv : masse molaire moyenne de la vapeur en grammes par mole.
Kc : facteur lié au produit stocké, Kc = 0,4 pour le pétrole brut, Kc = 1 pour les autres liquides inflammables.
1. Détermination de FR :
FR = (KRA + KRB.Vn).D
FR : facteur de perte au joint périphérique en kilogrammes-mole par an.
KRA : coefficient de perte au joint périphérique à vitesse de vent nulle en kilogrammes-mole par mètre-an (6).
KRB : coefficient de perte au joint périphérique dépendant de la vitesse du vent en kg-mole/(m/s)n-m-an (6).
V : vitesse moyenne du vent au niveau du site en mètres par seconde.
n : exposant de la vitesse du vent lié au type de joint périphérique (6).
D : diamètre du réservoir en mètres.
Nota. – Si la vitesse du vent au niveau du site n'est pas disponible, la vitesse du vent de la station météorologique la plus proche est utilisée.
Pour les réservoirs à toit flottant interne et à toit flottant externe équipés d'un dôme, la vitesse du vent est considérée comme nulle (FR = KRA.D).
(6) Les mots : « (cf. tableau n° C1 ci-dessous) » est supprimé par arrêté du 10 février 2011.
2. Détermination de FF :
FF = [(NF1.KF1) + (NF2.KF2) +...+ (NFn.KFn)]
FF : facteur total de perte aux joints des accessoires en kilogrammes-mole par an.
NFi : nombre d'accessoires d'un type donné (i = 0, 1, 2,..., n).
KFi : coefficient de perte aux accessoires pour un type d'accessoire donné en kilogrammes-mole par an.
n : nombre total des différents types d'accessoires.
Pour un type donné d'accessoires, KFi est déterminé au moyen de l'équation suivante :
KFi = KFAi + KFBi.(Kv.V)mi
KFi : coefficient de perte aux accessoires pour un type d'accessoire donné en kilogrammes-mole par an.
KFAi : coefficient de perte aux accessoires pour un type d'accessoire donné à vitesse de vent nulle en kilogrammes-mole par an (7).
KFBi : coefficient de perte aux accessoires pour un type d'accessoires donné dépendant de la vitesse de vent en kg-mole/(m/s)m-an (7).
Kv : facteur correctif de la vitesse du vent.
V : vitesse moyenne du vent au niveau du site en mètres par seconde.
mi : exposant de la vitesse du vent lié à un type d'accessoire donné (7).
Nota. – Pour les réservoirs à toit flottant externe, Kv est égal à 0,7.
Pour les réservoirs à toit flottant interne et à toit flottant externe équipés d'un dôme, la vitesse du vent est considérée comme nulle (KFi = KFAi).
(7) Les mots : « (cf. tableau n° C2 ci-dessous) » est supprimé par arrêté du 10 février 2011.
Lorsque le nombre d'accessoires n'est pas connu, un nombre est proposé pour chaque type d'accessoires (8).
(8) Les mots : « dans le tableau n° C2 ci-dessous » est supprimé par arrêté du 10 février 2011.
3. Détermination de FD :
FD = KD.SD.D2
FD : facteur total de perte par perméabilité des raccords d'écran en kilogrammes-mole par an.
KD : coefficient de perte par perméabilité des raccords d'écran par unité de longueur de raccord en kilogrammes-mole par mètre-an, KD = 0,5.
SD : facteur de longueur des raccords d'écran en mètres par mètre carré avec :
![]()
Ljoint : longueur totale des raccords d'écran en mètres.
Aécran : surface de l'écran en mètres carrés.
Nota. – La perte par perméabilité des raccords d'écran des réservoirs à toit flottant externe et des réservoirs à toit flottant interne équipés d'un écran soudé ou collé est nulle.
Lorsque la longueur totale des raccords d'écran n'est pas connue, une valeur de SD par défaut de 0,65 m/m2 est retenue.
4. Détermination de P* :

P* : fonction de pression de vapeur saturante.
PVA : pression de vapeur saturante à la température moyenne journalière de la surface du liquide en kilopascals.
PA : pression atmosphérique moyenne sur le site en kilopascals.
Pour calculer PVA, la température journalière moyenne à la surface du liquide est déterminée de la même manière que pour les réservoirs à toit fixe.
D. – Emissions par mouvement :
Les émissions par mouvement s'estiment par la formule :

EM : émissions par mouvement en kilogrammes par an.
Q : volume de produit transféré annuellement et générant une variation de niveau dans le réservoir en mètres cubes.
C : coefficient de mouillabilité en mètres cubes par mètre carré (9).
DL : densité moyenne du liquide en kilogrammes par mètre cube.
D : diamètre du réservoir en mètres.
Nc : nombre de colonnes de toit présentes dans le réservoir (10)
Fc : diamètre des colonnes de toit en mètres.
(9) Les mots : « (cf. tableau n° C3 ci-dessous) » est supprimé par arrêté du 10 février 2011.
(10) Les mots : « (cf. tableau n° C7 ci-dessous) » est supprimé par arrêté du 10 février 2011.
ANNEXE 5
Taux d'application d'extinction et durées pour les stratégies de lutte contre l'incendie ne prévoyant pas l'intervention des services d'incendie et de secours*
*Titre modifié par arrêté du 2 septembre 2015
A. - Taux d'application d'extinction forfaitaires
Pour la détermination des moyens en solution moussante et des réserves d'émulseur nécessaires à l'extinction d'incendies de liquides inflammables définis au point 43-1 du présent arrêté, les taux d'application d'extinction efficaces forfaitaires sont a minima, sauf dispositions différentes prescrites par le préfet au vu des justifications apportées par l'exploitant, ceux fixés dans le tableau suivant :
| TAUX D'APPLICATION D'EXTINCTION | LIQUIDE non miscible à l'eau |
LIQUIDE miscible à l'eau |
|---|---|---|
Moyen d'application réalisant une application douce (notamment les déversoirs et boîtes à mousse) |
4 litres par mètre carré et par minute | 4 litres par mètre carré et par minute |
Moyen d'application réalisant une application indirecte (par exemple projection avec canon ou lance sur le réservoir) |
5 litres par mètre carré et par minute | 8 litres par mètre carré et par minute |
Moyen d'application réalisant une application directe (projection avec canon ou lance sans toucher le réservoir) |
7 litres par mètre carré et par minute | 15 litres par mètre carré et par minute |
Tableau modifié par arrêté du 11 mai 2015.
B. - Méthodologie d'évaluation des taux d'application de solution moussante
Pour certains émulseurs s'avérant particulièrement performants, ayant satisfait à des tests de qualification selon des protocoles définis dans des guides professionnels reconnus par le ministère chargé du développement durable, les taux efficaces forfaitaires, selon le mode d'application, peuvent être remplacés, pour les incendies de rétention, par des taux calculés selon la méthodologie décrite ci-dessous.
Le taux d'application d'extinction réel à préconiser est Tréel = Texp.K + 0,5 litre par mètre carré et par minute où :
- Texp est un taux d'application expérimental propre à chaque famille d'émulseur déterminé à partir d'une campagne d'essais ;
- K est un coefficient de majoration lié aux conditions d'application. Ce coefficient est propre à chaque site ;
- une majoration forfaitaire de 0,5 litre par mètre carré et par minute de ce taux est effectuée pour tenir compte des incertitudes inhérentes à toute détermination expérimentale.
Pour l'extinction d'un incendie de liquide inflammable, les valeurs des taux d'application expérimentaux d'extinction sont déterminées à partir d'une campagne d'essais tels que définis par les guides professionnels.
Le coefficient opérationnel K se détermine en effectuant la somme des majorations affectées aux différents paramètres présentés dans les tableaux ci-après, selon la formule : K = 1 + F1 + F2.
- F1 représente la somme des majorations liées aux facteurs influant directement sur le taux d'application, à savoir l'accessibilité aux côtés de la rétention, l'encombrement dans la rétention, la portée des jets de lance et les données météorologiques.
| Majoration due à l'accessibilité | |
Accessible de tous côtés |
Aucune |
Un côté inaccessible |
0,25 |
Deux côtés inaccessibles |
0,5 |
| Majoration due à l'encombrement | |
1 seul réservoir, pas de nappe de tuyauteries |
Aucune |
Plusieurs réservoirs |
0,1 |
Rétention très encombrée, nappe de tuyauteries |
0,2 |
| Majoration due à la portée | |
Impact sur le réservoir |
Aucune |
Impossibilité d'impacter le réservoir (émulseur de catégorie I) |
0,25 |
Impossibilité d'impacter le réservoir (émulseur de catégorie II) |
0,5 |
| Majoration due à la météorologie (vent) | |
Zone I selon les règles Neige et Vent |
Aucune |
Zone II selon les règles Neige et Vent |
0,1 |
Zone III selon les règles Neige et Vent |
0,2 |
Zone IV selon les règles Neige et Vent |
0,3 |
L'évaluation des différents paramètres est effectuée au cas par cas en intégrant la présence des moyens fixes qui permettent de compenser les majorations liées aux conditions pénalisantes (pas de majoration pour les moyens fixes).
En cas d'utilisation simultanée de moyens fixes et de moyens mobiles, le calcul est fait au prorata de la contribution de chacun des moyens, calculée par rapport au taux nécessaire correspondant (pas de majoration pour les moyens fixes, majorations pour les moyens mobiles).
- F2 représente la majoration liée au délai de mise en œuvre des moyens. Les critères du paramètre F2 définis dans le tableau suivant doivent être réalisés en permanence à toute heure de la journée et de la nuit.
| Majoration due au délai | |
Si le temps de mise en œuvre des moyens fixes ou du premier moyen d'intervention ou de prévention est inférieur ou égal à quinze minutes et Si le temps de mise en œuvre de la moitié des moyens de temporisation est inférieur ou égal à trente minutes et Si le temps de mise en œuvre de l'intégralité des moyens de temporisation est inférieur ou égal à quarante-cinq minutes |
Aucune |
Si une ou plusieurs de ces conditions ne sont pas respectées |
0,25 |
Si le temps de mise en œuvre de l'intégralité des moyens de temporisation est supérieur à quatre-vingt-dix minutes |
0,5 |
Nota. - La temporisation consiste à réduire le flux thermique émis par l'incendie par la mise en œuvre de moyens d'application de solution moussante dont le taux est égal à la moitié du taux d'application nécessaire à l'extinction.
Le coefficient F2 est égal à 0 dans le cas de la mise en œuvre d'un tapis de mousse préventif.
L'évaluation des différents paramètres s'effectue au cas par cas en intégrant la présence des moyens fixes qui permettent de compenser les majorations liées aux conditions pénalisantes.
Des clarifications sur ces paramètres sont apportées dans des guides professionnels.
C. - Durées
Pour la détermination des réserves minimales en émulseur et éventuellement des réserves en eau, la durée de la phase d'extinction est la suivante :
- feu de réservoir :
- 20 minutes en cas d'usage de moyens fixes ou semi-fixes ;
- 20 minutes pour une surface de réservoir inférieure à 2 000 mètres carrés, plus 10 minutes par tranche de 1 000 mètres carrés de surface de réservoir au-delà des 2 000 mètres carrés en cas d'usage de moyens mobiles.
- feu de rétention ou de sous-rétention :
- réduction du flux thermique par application de mousse d'extinction le temps de réunir l'intégralité des moyens d'extinction ;
- extinction en 20 minutes.
ANNEXE 6
Taux d'application d'extinction et durées pour les stratégies de lutte contre l'incendie prévoyant l'intervention des services d'incendie et de secours*
(Arrêté du 2 septembre 2015)
A. - Taux d'application d'extinction forfaitaires
Les moyens d'application de la solution moussante permettent soit une application douce, soit une application indirecte. L'application directe de solution moussante est interdite. L'émulseur est de classe de performance IA ou IB conformément aux normes NF EN 1568-1, NF EN 1568-2, NF EN 1568-3, ou NF EN 1568-4 (version d'août 2008).
Pour la détermination des moyens en solution moussante et des réserves d'émulseur nécessaires à l'extinction d'incendies de liquides inflammables définis au point 43-1 du présent arrêté, les taux d'application d'extinction efficaces forfaitaires sont ceux fixés dans le tableau suivant :
| TAUX D'APPLICATION D'EXTINCTION | LIQUIDE INFLAMMABLE non miscible à l'eau |
LIQUIDE INFLAMMABLE miscible à l'eau |
|---|---|---|
Moyen d'application réalisant une application douce (notamment les déversoirs et boîtes à mousse) |
4 litres par mètre carré et par minute | 4 litres par mètre carré et par minute |
Moyen d'application réalisant une application indirecte (par exemple projection avec canon ou lance sur le réservoir) |
5 litres par mètre carré et par minute | 8 litres par mètre carré et par minute |
B. - Méthodologie d'évaluation des taux d'application de solution moussante
Pour certains émulseurs s'avérant particulièrement performants, ayant satisfait à des tests de qualification selon des protocoles définis dans des guides professionnels reconnus par le ministère chargé du développement durable, les taux efficaces forfaitaires, selon le mode d'application, peuvent être remplacés, pour les incendies de rétention, par des taux calculés selon la méthodologie décrite ci-dessous.
Le taux d'application d'extinction réel à préconiser est Tréel = Texp.K + 0,5 litre par mètre carré et par minute où :
- Texp est un taux d'application expérimental propre à chaque famille d'émulseur déterminé à partir d'une campagne d'essais ;
- K est un coefficient de majoration lié aux conditions d'application. Ce coefficient est propre à chaque site ;
- une majoration forfaitaire de 0,5 litre par mètre carré et par minute de ce taux est effectuée pour tenir compte des incertitudes inhérentes à toute détermination expérimentale.
Pour l'extinction d'un incendie de liquide inflammable, les valeurs des taux d'application expérimentaux d'extinction sont déterminées à partir d'une campagne d'essais tels que définis par les guides professionnels.
Le coefficient opérationnel K se détermine en effectuant la somme des majorations affectées aux différents paramètres présentés dans les tableaux ci-après, selon la formule : K = 1 + F1 + F2.
F1 représente la somme des majorations liées aux facteurs influant directement sur le taux d'application, à savoir l'accessibilité aux côtés de la rétention, l'encombrement dans la rétention, la portée des jets de lance et les données météorologiques.
| Majoration due à l'accessibilité | |
|---|---|
Accessible de tous côtés |
Aucune |
Un côté inaccessible |
0,25 |
Deux côtés inaccessibles |
0,5 |
| Majoration due à l'encombrement | |
1 seul réservoir, pas de nappe de tuyauteries |
Aucune |
Plusieurs réservoirs |
0,1 |
Rétention très encombrée, nappe de tuyauteries |
0,2 |
| Majoration due à l'encombrement | |
Impact sur le réservoir |
Aucune |
| Majoration due à la météorologie (vent) | |
Zone I selon les règles Neige et Vent |
Aucune |
Zone II selon les règles Neige et Vent |
0,1 |
Zone III selon les règles Neige et Vent |
0,2 |
Zone IV selon les règles Neige et Vent |
0,3 |
L'évaluation des différents paramètres est effectuée au cas par cas en intégrant la présence des moyens fixes qui permettent de compenser les majorations liées aux conditions pénalisantes (pas de majoration pour les moyens fixes).
En cas d'utilisation simultanée de moyens fixes et de moyens mobiles, le calcul est fait au prorata de la contribution de chacun des moyens, calculée par rapport au taux nécessaire correspondant (pas de majoration pour les moyens fixes, majorations pour les moyens mobiles).
F2 représente la majoration liée au délai de mise en œuvre des moyens. Les critères du paramètre F2 définis dans le tableau suivant doivent être réalisés en permanence à toute heure de la journée et de la nuit.
| Majoration due au délai | |
|---|---|
Si le temps de mise en œuvre des moyens fixes ou du premier moyen d'intervention ou de prévention est inférieur ou égal à quinze minutes et Si le temps de mise en œuvre de la moitié des moyens de temporisation est inférieur ou égal à trente minutes et Si le temps de mise en œuvre de l'intégralité des moyens de temporisation est inférieur ou égal à quarante-cinq minutes |
Aucune |
Si une ou plusieurs de ces conditions ne sont pas respectées |
0,25 |
Si le temps de mise en œuvre de l'intégralité des moyens de temporisation est supérieur à quatre-vingt-dix minutes |
0,5 |
Nota. – La temporisation consiste à réduire le flux thermique émis par l'incendie par la mise en œuvre de moyens d'application de solution moussante dont le taux est égal à la moitié du taux d'application nécessaire à l'extinction.
Le coefficient F2 est égal à 0 dans le cas de la mise en œuvre d'un tapis de mousse préventif.
L'évaluation des différents paramètres s'effectue au cas par cas en intégrant la présence des moyens fixes qui permettent de compenser les majorations liées aux conditions pénalisantes.
Des clarifications sur ces paramètres sont apportées dans des guides professionnels.
C. – Durées
Pour la détermination des réserves minimales en émulseur et éventuellement des réserves en eau, la durée de la phase d'extinction (pour un feu de réservoir, de rétention ou de sous-rétention) est de :
- vingt minutes en cas d'usage de moyens fixes ;
- vingt minutes pour une surface de réservoir, de rétention ou de sous-rétention inférieure à 2000 mètres carrés, plus dix minutes par tranche de 1000 mètres carrés de surface de réservoir, de rétention ou de sous rétention, au-delà des 2000 mètres carrés en cas d'usage de moyens mobiles ou semi-fixes.
ANNEXE 7
DISPOSITIONS APPLICABLES AUX INSTALLATIONS EXISTANTES
(Arrêté du 24 septembre 2020)
I. – Dispositions applicables (Arrêté du 22 septembre 2021) « aux réservoirs aériens manufacturés de liquides inflammables exploités au sein d'une installation classée existante relevant du régime de l'autorisation » au titre de l'une ou plusieurs des rubriques nos 1436, 4330, 4331, 4722, 4734, 4742, 4743, 4744, 4746, 4747 ou 4748, ou pour le pétrole brut au titre de l'une ou plusieurs des rubriques nos 4510 ou 4511 de la législation des installations classées pour la protection de l'environnement
Ce point définit les dispositions applicables (Arrêté du 22 septembre 2021) « aux réservoirs aériens manufacturés de liquides inflammables exploités au sein d'une installation classée existante relevant du régime de l'autorisation » au titre de l'une ou plusieurs des rubriques nos 1436, 4330, 4331, 4722, 4734, 4742, 4743, 4744, 4746, 4747 ou 4748, ou pour le pétrole brut au titre de l'une ou plusieurs des rubriques nos 4510 ou 4511 de la législation des installations classées pour la protection de l'environnement en complément le cas échéant de dispositions spécifiques plus contraignantes figurant dans les arrêtés d'autorisation.
(Arrêté du 22 septembre 2021) « Les dispositions particulières applicables aux réservoirs ou rétentions, présents au sein de ces installations, et nouvellement soumis aux dispositions du présent arrêté en application du point III. de l'article I sont définies au point II. de la présente annexe. »
A. – (Arrêté du 22 septembre 2021) « Pour les installations dont la » demande d'autorisation présentée à compter du 16 mai 2011 ainsi qu'aux extensions ou modifications d'installations existantes régulièrement mises en service nécessitant le dépôt d'une nouvelle demande d'autorisation en application de l'article R. 181-46 du code de l'environnement au-delà du 16 mai 2011 (Arrêté du 22 septembre 2021) «, l'ensemble des dispositions des articles 2 à 64 du présent arrêté s'appliquent ».
Les articles 19, 20, 21, 43-1, 43-2, 43-3 et 43-7 sont applicables selon les modalités décrites ci-dessous :
| Article concerné | Modalités d'applications particulières |
|---|---|
| 19 | Les dispositions du 19.II sont applicables à compter du 1er janvier 2026. Les autres dispositions sont applicables |
| 20 | Le 20-3 est applicable aux réservoirs construits à compter du 1er janvier 2021. Le 20-2 est applicable aux réservoirs construits à compter du 16 mai 2011. Les autres dispositions sont applicables. |
| 21 | Les dispositions du point 7 de l'article 21 ne sont pas applicables. Les dispositions des autres points de l'article 21 sont applicables aux installations existantes à compter du 1er janvier 2026. |
| 43-1 | La stratégie de lutte contre l'incendie est mise à jour au plus tard le 1er janvier 2026 pour tenir compte du scénario 4 |
| 43-2 (Arrêté du 22 septembre 2021) |
Si la mise à jour de la stratégie de lutte contre l'incendie prévue au 43-1 conduit à une augmentation des moyens nécessaires, si l'exploitant prévoit un recours aux moyens des services d'incendie et de secours en application de l'article 43-2-2, ce recours ne porte que sur les moyens complémentaires sollicités. Les dispositions du 43-2-6 sont applicables aux sites nouveaux à compter du 16 mai 2011. |
| 43-3 | Les travaux et modifications identifiés comme nécessaires lors de la mise à jour de la stratégie incendie pour tenir compte du scénario 4 prévue au 43-1 sont réalisés avant le 1er janvier 2026. |
| 43-7 | Cette disposition est applicable au 1er janvier 2026. |
B. – Pour les installations relevant du I.1 de l'article 1er du présent arrêté ayant fait l'objet d'une demande d'autorisation avant le 16 mai 2011 ou régulièrement mise en service avant le 16 mai 2011, et sans préjudice des dispositions déjà applicables :
- les dispositions des articles 1er, 2, 3, 13, 14, 17, 23, 24, 30 à 33, 35, 37, 38, 40, 41, 42, 49 à 53 et 56 à 64 sont applicables à compter du 16 mai 2011 ;
- les dispositions des articles 10 et 11 sont applicables aux installations uniquement pour l'implantation d'un nouveau réservoir ;
- les dispositions des articles 6 et 12 ne sont pas applicables.
- les dispositions des articles 4, 5, 7, 8, 9, 15, 16, 18 à 22, 25 à 29, 34, 36, 39, 43, 44, 45, 46, 47, 48, 54 et 55 sont applicables à ces installations selon les modalités décrites ci-dessous :
Les dispositions des autres articles sont applicables selon les modalités décrites ci-dessous.
Les dispositions prévues dans le titre 3 du présent arrêté ne sont par ailleurs pas applicables aux réservoirs existants dont l'exploitation a cessé avant fin 2015.
| Article concerné | Modalités d'applications particulières |
|---|---|
| 4 | Les dispositions des deux premiers alinéas du présent article sont applicables aux installations existantes à compter du 16 mai 2011. La disposition du troisième alinéa n'est pas applicable aux installations existantes, aux extensions ou modifications d'installations existantes ainsi qu'aux installations nouvelles construites dans un site existant au 16 novembre 2010. |
| 5 | Pour les sites existant au 16 novembre 2010 qui accueillent des installations existantes, des extensions ou modifications de ces installations ainsi que des installations nouvelles, ceux-ci disposent en permanence d'un accès au moins répondant aux exigences du premier alinéa. L'exploitant fournit au préfet, avant le 16 novembre 2013, une étude technico-économique évaluant la possibilité que le site dispose en permanence de deux accès au moins. Les dispositions des deuxième et troisième alinéas sont applicables aux installations existantes à compter du 16 mai 2011. Les dispositions des autres alinéas ne sont pas applicables aux installations existantes, aux extensions ou modifications de ces installations ainsi qu'aux installations nouvelles construites dans un site existant au 16 mai 2011. |
| 7 | Les dispositions des points 7-1 et 7-2 : - ne sont pas applicables aux installations existantes ; - sont applicables aux extensions ou modifications d'installations existantes ainsi qu'aux installations nouvelles construites dans un site existant au 16 novembre 2010 lorsque la capacité équivalente totale de liquides inflammables faisant l'objet de la demande d'autorisation est supérieure à 10 mètres cubes. Les dispositions du 7-3 ne sont pas applicables aux installations existantes. Ces dispositions peuvent faire l'objet de dispositions alternatives, au regard de l'étude de dangers, pour les extensions ou modifications d'installations existantes au 16 novembre 2010. |
| 8 | Le dernier alinéa est applicable aux installations existantes à compter du 16 novembre 2015. Les autres dispositions ne sont pas applicables. |
| 9 | Pour les réservoirs existants au 16 novembre 2010, ce revêtement est mis en place au plus tard à la prochaine ouverture du réservoir pour inspection hors exploitation détaillée telle que prévue au titre de l'article 29 du présent arrêté. |
| 15 | Pour les installations existantes, les surfaces d'évents nécessaires sont mises en place à la prochaine inspection hors exploitation détaillée du réservoir prévue au titre de l'article 29 du présent arrêté ou au plus tard le 16 novembre 2020 pour les réservoirs non soumis à inspection détaillée hors exploitation. |
| 16 | Les dispositions du présent article sont applicables aux installations existantes de liquides inflammables de capacité équivalente inférieure à 100 mètres cubes à compter du 16 novembre 2015. Concernant les installations existantes de capacité équivalente supérieure ou égale à 100 mètres cubes, les dispositions du présent article s'appliquent à la date de la prochaine inspection hors exploitation détaillée du réservoir prévue au titre de l'article 29 du présent arrêté et au plus tard le 16 novembre 2020. |
| 18 | Les dispositions du présent article sont applicables aux installations existantes à compter du 16 novembre 2012. |
| 19 | Les dispositions du 19.II sont applicables à compter du 1er janvier 2026. Les autres dispositions du présent article sont applicables aux installations existantes à compter du 16 mai 2011, à l'exception du dernier alinéa du point 19.III qui n'est pas applicable. |
| 20 | Cette disposition est applicable aux installations existantes : - pour l'ensemble des liquides inflammables hors fioul lourd ; - pour les stockages de fioul lourd autorisés à compter du 3 mars 1998 ainsi qu'aux stockages qui ont fait l'objet d'une modification ou d'une extension postérieurement à cette date dans les conditions prévues à l'article R. 512-33 du code de l'environnement. Pour les autres installations existantes de stockage de fioul lourd, la capacité utile de la rétention est au moins égale à 20 % de la capacité totale des réservoirs associés. Pour ces installations, l'exploitant fournit par ailleurs au préfet, avant le 16 novembre 2013, une étude technico- économique évaluant la possibilité de répondre aux dispositions des trois premiers alinéas du présent article. Les dispositions du point 20-1 du présent arrêté sont applicables aux rétentions déportées dans les installations existantes autorisées à compter du 3 mars 1998 ainsi que dans les installations qui ont fait l'objet d'une modification ou d'une extension postérieurement à cette date dans les conditions prévues à l'article R. 512-33 du code de l'environnement. Pour les autres installations, dans le cas d'existence d'une rétention déportée dont le dimensionnement ne correspond pas aux trois premiers alinéas du point 20-1 du présent arrêté, l'exploitant fournit, au préfet au plus tard le 16 novembre 2011, une étude technico-économique évaluant la possibilité de répondre aux dispositions du présent article. Le 20-2 est applicable aux réservoirs construits à compter du 16 mai 2011. Le 20-3 est applicables aux réservoirs construits à compter du 1er janvier 2021. |
| 21 | Les dispositions du point 7 de l'article 21 ne sont pas applicables. Les dispositions des autres points de l'article 21 sont applicables aux installations existantes à compter du 1er janvier 2026. |
| 22-1 | Pour les installations existantes, l'exploitant recense avant le 16 novembre 2012 les rétentions nécessitant des travaux d'étanchéité afin de répondre aux exigences des dispositions du point 22-1-1 du présent arrêté. Il planifie ensuite les travaux en quatre tranches, chaque tranche de travaux couvrant au minimum 20 % de la surface totale des rétentions concernées. Les tranches de travaux sont réalisées au plus tard respectivement six, onze, quinze et vingt ans à compter du 16 novembre 2010. Pour les installations existantes dûment recensées et ne faisant pas partie des 20 % inclus dans la première tranche de travaux, en cas de dispositif d'étanchéité constitué d'une couche en matériaux meubles selon le 2e tiret du 22-1-1, l'épaisseur prise pour le calcul peut dépasser 0,5 mètre sans toutefois dépasser 3 mètres, si l'ensemble des conditions suivantes sont respectées : - L'exploitant met en place une couronne d'étanchéité répondant aux caractéristiques du 1er tiret du 22-1-1. Le dispositif est conçu et dimensionné de telle manière à collecter les fuites de probabilité de classe A à C selon l'échelle établie à l'annexe I de l'arrêté du 29 septembre 2005 susvisé, en provenance du réservoir, de ses accessoires, du raccordement des tuyauteries au réservoir et des pompes de liquides inflammables présentes dans la rétention, à confiner dans la zone étanche le produit épandu, à détecter la présence de produit et à permettre son évacuation ; - y compris dans le cas de réceptions non automatiques, les réservoirs sont équipés d'un système de sécurité instrumenté, indépendant du dispositif de mesure de niveau, réalisant les actions nécessaires pour interrompre le remplissage du réservoir avant l'atteinte du niveau de débordement. Ce système est constitué de deux sécurités de niveau haut et très haut indépendantes du dispositif de mesure de niveau et conformes aux exigences définies par les alinéas 3 à 15 de l'article 16 du présent arrêté, sauf si l'exploitant justifie que le système qu'il met en place garantit un niveau d'efficacité et de fiabilité équivalent ; - l'exploitant démontre sa capacité, en cas de fuite non collectée par la couronne d'étanchéité, à reprendre ou à évacuer le liquide présent dans la rétention dans une durée inférieure à 100 h, et à disposer des moyens d'excavation afin d'évacuer dans une durée inférieure au rapport h/v calculé l'ensemble des matériaux contaminés par le produit vers des filières de valorisation, de traitement ou d'élimination adaptées ; - l'exploitant s'engage à mettre en œuvre les mesures définies à l'alinéa précédent y compris si cela induit un endommagement irrémédiable du ou des réservoirs de la cuvette concernée. Sont toutefois dispensées des exigences formulées 'au premier alinéa : - les rétentions associées à des réservoirs existants contenant des liquides inflammables non visés par une phrase de risque R22, R23, R25, R26, R28, R39, R40, R45, R46, R48, R49, R50, R51, R52, R53, R54, R56, R58, R60, R61, R62, R63, R65, R68, ou par une de leur combinaison, ou par une mention de danger H300, H301, H302, H304, H330, H331, H340, H341, H350, H351, H360F, H360D, H360FD, H360Fd, H360Df, H361f, H361d, H361fd, H370, H371, H372, H373, H400, H410, H411, H412 ou H413, ou par une de leur combinaison ; - les rétentions associées à des réservoirs existants contenant des liquides inflammables non visés par une phrase de risque R23, R26, R39, R54, R56, R58, R60, R61 ou par une de leur combinaison, ou par une mention de danger H330, H331, H360F, H360D, H360FD, H360Fd, H360Df, H370 ou par une de leur combinaison, et pour lesquelles une étude hydrogéologique réalisée par un organisme compétent et indépendant atteste de l'absence de voie de transfert vers une nappe exploitée ou susceptible d'être exploitée, pour des usages agricoles ou en eau potable ; Sont réputés satisfaire à l'obligation de travaux mentionnée au premier alinéa : - les rétentions associées à des réservoirs existants dont l'exploitation cesse définitivement avant les échéances mentionnées au premier alinéa. |
| 22-2 | Les dispositions du 1er alinéa du 22-2-1 sont applicables aux installations existantes au 30 juin 2011. Les dispositions du 2e alinéa du 22-2-1 sont applicables à compter du 31 décembre 2012. Les dispositions du 22-2-2 ne sont pas applicables. Les autres dispositions sont applicables. |
| 22-3, 22-4, 22-6 | Les dispositions ne sont pas applicables. |
| 22-5 | Pour les installations existantes, l'exploitant fournit au préfet avant le 16 novembre 2013, une étude technico-économique évaluant la possibilité de répondre aux dispositions du point 22-5. |
| 22-7 | Le point 22-7-1 s'applique aux tuyauteries existantes au 16 novembre 2010. Cette disposition est applicable aux installations existantes à compter du 16 novembre 2015. Pour les installations existantes, l'exploitant fournit au préfet avant le 16 novembre 2013, une étude technico-économique évaluant la possibilité de répondre aux dispositions du 27-7-2. Le 22-7.3 est applicable à compter du 16 mai 2011. |
| 22-8 | Pour les installations existantes, l'exploitant fournit au préfet avant le 16 novembre 2013, une étude technico-économique évaluant la possibilité de répondre aux dispositions du 22-8. |
| 22-9 | Ces dispositions sont applicables aux installations existantes à compter du 16 novembre 2015. |
| 22-10 | Cette disposition est applicable. |
| 25 | Les dispositions du présent article sont applicables aux installations existantes à compter du 16 novembre 2015. |
| 26 | Les dispositions du dernier alinéa du 26-1 ne sont pas applicables aux installations existantes. Les dispositions du 26-2 sont applicables aux installations précédemment soumises à l'arrêté du 9 novembre 1972 fixant les règles d'aménagement et d'exploitation des dépôts d'hydrocarbures liquides à compter du 16 novembre 2015 et n'est pas applicable aux autres installations existantes. Les dispositions des articles 26-3 à 26-5 sont applicables à la prochaine inspection hors exploitation détaillée du réservoir prévue au titre de l'article 29 du présent arrêté ou au plus tard le 16 novembre 2020 pour les réservoirs non soumis à inspection détaillée hors exploitation. |
| 27 | Les dispositions du présent article sont applicables aux installations existantes à compter du 16 novembre 2015. |
| 28 | Pour les réservoirs qui ne disposent pas d'un tel dossier de suivi, celui-ci est à réaliser avant le 31 décembre 2011. |
| 29 | Dans les installations existantes, le programme des inspections est mis en place avant le 30 juin 2012. Les réservoirs dont la dernière inspection hors exploitation détaillée remonte à : - avant 1986, font l'objet d'une inspection hors exploitation détaillée avant fin décembre 2012 ; - 1987 et 1988, font l'objet d'une inspection hors exploitation détaillée avant fin décembre 2014 ; - 1989 et 1990, font l'objet d'une inspection hors exploitation détaillée avant fin décembre 2016. Pour les réservoirs n'ayant jamais fait l'objet d'une inspection externe ou hors exploitation détaillée, la première inspection hors exploitation détaillée a lieu avant le 16 novembre 2020. |
| 36 | Les dispositions du présent article 36 sont applicables aux installations existantes au 31 décembre 2015. |
| 39 | Les dispositions du présent article sont applicables aux installations existantes au 16 novembre 2013. |
| 43 | Sauf mention contraire dans les points concernés, les dispositions de l'article 43 sont applicables au plus tard le 30 juin 2011 aux installations existantes. |
| 43-1 | Les dispositions de ce point 43-1 sont applicables aux installations existantes à compter du 1er janvier 2026. La stratégie de lutte contre l'incendie prévue au 43-1 est élaborée ou mise à jour, le cas échéant pour tenir des installations de stockages liquides inflammables non classés inflammables, au plus tard le 1er janvier 2026. |
| 43-2 (Arrêté du 22 septembre 2021) |
Les dispositions du point 43-2-4 sont applicables aux installations existantes au 31 décembre 2013. Si la mise à jour de la stratégie de lutte contre l'incendie prévue au 43-1 conduit à une augmentation des moyens nécessaires, si l'exploitant prévoit un recours aux moyens des services d'incendie et de secours en application de l'article 43-2-2, ce recours ne porte que sur les moyens complémentaires sollicités. |
| 43-3-1 | Les dispositions des deux premiers alinéas du point 43-3-1 sont applicables aux installations existantes : - au 31 décembre 2018, si l'exploitant n'a pas sollicité le recours aux moyens des services d'incendie et de secours en application du point 43-2-2 du présent arrêté ; - dans un délai de quatre ans après l'éventuelle réponse négative du préfet telle que mentionnée au deuxième alinéa du point 43-2-2 du présent arrêté, pour les demandes de recours aux moyens des services d'incendie et de secours sollicitées avant le 30 juin 2016 ; - dans un délai de six ans à compter de la date de l'arrêté préfectoral tel que prévu au troisième alinéa du point 43-2-2 du présent arrêté, pour les demandes de recours aux moyens des services d'incendie et de secours sollicitées avant le 30 juin 2016. Les dispositions des alinéas 3 à 5 ne sont pas applicables. Les travaux et modifications identifiés comme nécessaires lors de la mise à jour de la stratégie incendie pour tenir compte du scénario 4 prévue au 43-1 sont réalisés avant le 1er janvier 2026. |
| 43-3-3 | Les dispositions du premier alinéa du 43-3-3 sont applicables aux installations existantes : - au 31 décembre 2018, si l'exploitant n'a pas sollicité le recours aux moyens des services d'incendie et de secours en application du point 43-2-2 du présent arrêté ; - dans un délai de quatre ans après l'éventuelle réponse négative du préfet telle que mentionnée au deuxième alinéa du point 43-2-2 du présent arrêté, pour les demandes de recours aux moyens des services d'incendie et de secours sollicitées avant le 30 juin 2016. Les dispositions des cinq derniers alinéas du 43-3-3 sont applicables aux installations existantes : - à l'échéance réglementaire de mise à jour du plan d'opération interne tel que défini à l'article R. 512-29 du code de l'environnement, si l'exploitant est soumis à l'obligation d'établir un tel document ; - au 31 décembre 2016, si l'exploitant n'est pas soumis à cette obligation. Les travaux et modifications identifiés comme nécessaires lors de la mise à jour de la stratégie incendie pour tenir compte du scénario 4 prévue au 43-1 sont réalisés avant le 1er janvier 2026. |
| 43-3-4 | Les dispositions de ce point 43-3-4 sont applicables aux installations existantes dans un délai de six ans à compter de la date de l'arrêté préfectoral tel que prévu au troisième alinéa du point 43-2-2 du présent arrêté, pour les demandes de recours aux moyens des services d'incendie et de secours sollicitées avant le 30 juin 2016. Les travaux et modifications identifiés comme nécessaires lors de la mise à jour de la stratégie incendie pour tenir compte du scénario 4 prévue au 43-1 sont réalisés avant le 1er janvier 2026. |
| 43-3-7 et 43-3-8 | La disposition suivante du point 43-3-8 n'est pas applicable aux installations autorisées avant le 16 mai 2011. « Si l'exploitant dispose de ses propres groupes de pompage, il dispose de moyens de pompage de secours lui permettant de pallier le dysfonctionnement de n'importe lequel de ses groupes pris individuellement » Les autres dispositions des points 43-3-7 et 43-3-8 du présent arrêté sont applicables aux installations existantes : - au 31 décembre 2018, si l'exploitant n'a pas sollicité le recours aux moyens des services d'incendie et de secours en application du point 43-2-2 du présent arrêté ; - dans un délai de quatre ans après l'éventuelle réponse négative du préfet telle que mentionnée au deuxième alinéa du point 43-2-2 du présent arrêté, pour les demandes de recours aux moyens des services d'incendie et de secours sollicitées avant le 30 juin 2016 ; - dans un délai de six ans à compter de la date de l'arrêté préfectoral tel que prévu au troisième alinéa du point 43-2-2 du présent arrêté, pour les demandes de recours aux moyens des services d'incendie et de secours sollicitées avant le 30 juin 2016. Les travaux et modifications identifiés comme nécessaires lors de la mise à jour de la stratégie incendie pour tenir compte du scénario 4 prévue au 43-1 sont réalisés avant le 1er janvier 2026. |
| 43-7 | Cette disposition est applicable au 1er janvier 2026. |
| 44 | Les dispositions du présent article sont applicables aux installations existantes au 16 novembre 2012. |
| 45 | Les dispositions du présent article s'appliquent à l'ensemble des installations de stockage de liquides inflammables (existantes et nouvelles). Pour les installations existantes qui ne respectent pas les valeurs limites d'émissions fixées dans le présent article, une étude technico-économique évaluant la possibilité de répondre aux dispositions du présent article est réalisée avant le 16 novembre 2012. |
| 46 | Ces dispositions sont applicables à compter du 16 mai 2011. |
| 47 | Les dispositions du présent article sont applicables aux installations existantes à compter du 16 novembre 2011. |
| 48 | Les dispositions du présent article sont applicables aux installations existantes à la date de la prochaine inspection hors exploitation détaillée du réservoir prévue à l'article 29 du présent arrêté ou au plus tard le 16 novembre 2020 pour les réservoirs ne faisant pas l'objet d'une inspection détaillée hors exploitation. Pour les réservoirs relevant du point 48-2 du présent arrêté, l'exploitant informe néanmoins l'inspection des installations classées d'un éventuel non-respect des prescriptions fixées dans le tableau précédent au plus tard le 16 novembre 2011. |
| 54 | Sauf mention contraire dans les alinéas concernés, les dispositions du présent article sont applicables aux installations au 16 mai 2011. |
| 54-1 | Les dispositions des alinéas I, II et III de l'article 43-1° de l'arrêté du 2 février 1998 ne sont pas applicables aux installations existantes, aux extensions ou modifications d'installations existantes ainsi qu'aux installations nouvelles construites dans un site existant au 16 novembre 2010. Pour les installations existantes, une étude technico-économique portant sur la possibilité d'atteindre cet objectif de volumes pour le confinement est réalisée au plus tard le 16 novembre 2013. |
| 55 | Les dispositions du présent article sont applicables aux installations existantes à compter du 16 novembre 2012. |
II. – (Arrêté du 22 septembre 2021) « Dispositions applicables aux réservoirs aériens manufacturés de liquides inflammables exploités au sein d'installations existantes et non couverts par le point I de la présente annexe. »
(Arrêté du 22 septembre 2021) « Ce point définit les dispositions applicables :
- aux réservoirs aériens manufacturés de liquides inflammables au sein des installations existantes relevant du I.2 de l'article 1er du présent arrêté ;
- aux réservoirs aériens manufacturés de liquides inflammables ou rétentions au sein des installations existantes relevant du I.1 de l'article 1er du présent arrêté et soumis aux dispositions du présent arrêté en application du point III de l'article I. et non couverts par le point I de la présente annexe.
Ces dispositions s'appliquent en complément le cas échéant de dispositions spécifiques plus contraignantes figurant dans les arrêtés d'autorisation.
Pour les installations, rétentions ou réservoirs cités ci-dessus, les dispositions du présent arrêté sont applicables aux liquides inflammables selon les modalités particulières suivantes : »
- les dispositions des articles 1er, 2, 24, 30 à 33, 37, 38, 40, 41 et 42 sont applicables à compter du 1er juillet 2021 ;
- les dispositions des articles 3, 10 et 11 sont applicables aux installations uniquement pour l'implantation d'un nouveau réservoir à compter du 1er janvier 2021 ;
- les dispositions des articles 6, 12 et 44 à 63 ne sont pas applicables ;
- les dispositions des articles 4, 5, 7, 8, 9, 13, 14, 15, 16, 17, 18 à 23, 25 à 29, 34, 35, 36, 39 et 43 sont applicables à ces installations selon les modalités décrites ci-dessous :
Les dispositions des autres articles sont applicables selon les modalités décrites ci-dessous.
Les dispositions prévues dans le titre 3 du présent arrêté ne sont par ailleurs pas applicables aux réservoirs antérieurs au 1er janvier 2021 dont l'exploitation cesse avant fin 2025.
| Article concerné | Modalités d'applications particulières |
|---|---|
| 4 | Les dispositions des deux premiers alinéas du présent article sont applicables aux installations existantes à compter du 1er janvier 2023. La disposition du troisième alinéa n'est pas applicable aux installations existantes, aux extensions ou modifications d'installations existantes ainsi qu'aux installations nouvelles construites dans un site existant au 1er janvier 2021. |
| 5 | Les installations existantes disposent en permanence d'un accès au moins répondant aux exigences du premier alinéa. Les dispositions suivantes sont applicables à compter du 1er janvier 2023 : L'accès au site est conçu pour pouvoir être ouvert immédiatement sur demande des services d'incendie et de secours ou directement par ces derniers. Les véhicules dont la présence est liée à l'exploitation de l'installation stationnent sans causer de gêne pour l'accessibilité des engins des services de secours depuis les voies de circulation externes à l'installation, même en dehors des heures d'exploitation et d'ouverture de l'installation Les dispositions des autres alinéas ne sont pas applicables aux installations existantes, aux extensions ou modifications de ces installations ainsi qu'aux installations nouvelles construites dans un site existant au 1er janvier 2021. |
| 7 | Les dispositions des points 7-1 et 7-2 : - ne sont pas applicables aux installations existantes ; - sont applicables aux extensions ou modifications d'installations existantes ainsi qu'aux installations nouvelles construites dans un site existant au 1er janvier 2021 lorsque la capacité équivalente totale de liquides inflammables faisant l'objet de la demande d'autorisation est supérieure à 10 mètres cubes. Les dispositions du 7-3 ne sont pas applicables aux installations existantes. Ces dispositions peuvent faire l'objet de dispositions alternatives, au regard de l'étude de dangers, pour les extensions ou modifications d'installations existantes au 1er janvier 2021. |
| 8 | Le dernier alinéa est applicable aux installations existantes à compter du 1er janvier 2031. Les autres dispositions ne sont pas applicables. |
| 9 | Sans objet |
| 13 | Les dispositions du présent article sont applicables aux installations existantes au 1er janvier 2023. |
| 14 | Les dispositions du présent article sont applicables aux installations existantes au 1er janvier 2023. |
| 15 | Pour les installations existantes, les surfaces d'évents nécessaires sont mises en place à la prochaine inspection hors exploitation détaillée du réservoir prévue à compter du 1er janvier 2023 au titre de l'article 29 du présent arrêté ou au plus tard le 1er janvier 2031 pour les réservoirs non soumis à inspection détaillée hors exploitation. |
| 16 | Les dispositions du présent article sont applicables aux installations existantes de liquides inflammables de capacité équivalente inférieure à 100 mètres cubes à compter du 1er janvier 2031. Concernant les installations existantes capacité équivalente supérieure ou égale à 100 mètres cubes, les dispositions du présent article s'appliquent à la date de la prochaine inspection hors exploitation détaillée du réservoir prévue à compter du 1er janvier 2023 au titre de l'article 29 du présent arrêté et au plus tard au 1er janvier 2031 pour les réservoirs non soumis à inspection détaillée hors exploitation. |
| 17 | Les dispositions du présent article sont applicables aux installations existantes au 1er janvier 2023. |
| 18 | Les dispositions du présent article sont applicables à compter du 1er janvier 2026. |
| 19 | Les dispositions du présent article sont applicables aux installations existantes à compter du 1er janvier 2026, à l'exception du dernier alinéa du point 19.III qui n'est pas applicable. |
| 20 | Les dispositions des points 20-1 et 20-2 ne sont pas applicables aux réservoirs construits avant le 1er janvier 2021. Pour les installations existantes, dans le cas d'existence d'une rétention dont le dimensionnement ne correspond pas aux trois premiers alinéas du point 20-1 du présent arrêté, l'exploitant fournit, au préfet au plus tard le 1er janvier 2023, une étude technico-économique évaluant la possibilité de répondre aux dispositions du présent article. Les dispositions du 20-3 sont applicables aux réservoirs construits à compter du 1er janvier 2021. |
| 21 | Les dispositions du point 7 de l'article 21 ne sont pas applicables. Les dispositions des autres points de l'article 21 sont applicables aux installations existantes à compter du 1er janvier 2026. |
| 22-1 | Pour les installations existantes, l'exploitant recense avant le 1er janvier 2023 les rétentions nécessitant des travaux d'étanchéité afin de répondre aux exigences des dispositions du point 22-1-1 du présent arrêté. Il planifie ensuite les travaux en quatre tranches, chaque tranche de travaux couvrant au minimum 20 % de la surface totale des rétentions concernées. Les tranches de travaux sont réalisées au plus tard respectivement six, dix, quinze et vingt ans à compter du 1er janvier 2021. Pour les installations existantes, en cas de dispositif d'étanchéité constitué d'une couche en matériaux meubles selon le 2e tiret du 22-1-1, l'épaisseur prise pour le calcul peut dépasser 0,5mètre sans toutefois dépasser 3 mètres, si l'ensemble des conditions suivantes sont respectées : - l'exploitant met en place une couronne d'étanchéité répondant aux caractéristiques du 1er tiret du 22-1-1. Le dispositif est conçu et dimensionné de telle manière à collecter les fuites de probabilité de classe A à C selon l'échelle établie à l'annexe I de l'arrêté du 29 septembre 2005 susvisé, en provenance du réservoir, de ses accessoires, du raccordement des tuyauteries au réservoir et des pompes de liquides inflammables présentes dans la rétention, à confiner dans la zone étanche le produit épandu, à détecter la présence de produit et à permettre son évacuation ; - y compris dans le cas de réceptions non automatiques, les réservoirs sont équipés d'un système de sécurité instrumenté, indépendant du dispositif de mesure de niveau, réalisant les actions nécessaires pour interrompre le remplissage du réservoir avant l'atteinte du niveau de débordement. Ce système est constitué de deux sécurités de niveau haut et très haut indépendantes du dispositif de mesure de niveau et conformes aux exigences définies par les alinéas 3 à 15 de l'article 16 du présent arrêté, sauf si l'exploitant justifie que le système qu'il met en place garantit un niveau d'efficacité et de fiabilité équivalent ; - l'exploitant démontre sa capacité, en cas de fuite non collectée par la couronne d'étanchéité, à reprendre ou à évacuer le liquide présent dans la rétention dans une durée inférieure à 100 h, et à disposer des moyens d'excavation afin d'évacuer dans une durée inférieure au rapport h/v calculé l'ensemble des matériaux contaminés par le produit vers des filières de valorisation, de traitement ou d'élimination adaptées ; - l'exploitant s'engage à mettre en œuvre les mesures définies à l'alinéa précédent y compris si cela induit un endommagement irrémédiable du ou des réservoirs de la cuvette concernée. Sont toutefois dispensées des exigences formulées 'au premier alinéa : - les rétentions associées à des réservoirs existants contenant des liquides inflammables non visés par une phrase de risque R22, R23, R25, R26, R28, R39, R40, R45, R46, R48, R49, R50, R51, R52, R53, R54, R56, R58, R60, R61, R62, R63, R65, R68, ou par une de leur combinaison, ou par une mention de danger H300, H301, H302, H304, H330, H331, H340, H341, H350, H351, H360F, H360D, H360FD, H360Fd, H360Df, H361f, H361d, H361fd, H370, H371, H372, H373, H400, H410, H411, H412 ou H413, ou par une de leur combinaison ; - les rétentions associées à des réservoirs existants contenant des liquides inflammables non visés par une phrase de risque R23, R26, R39, R54, R56, R58, R60, R61 ou par une de leur combinaison, ou par une mention de danger H330, H331, H360F, H360D, H360FD, H360Fd, H360Df, H370 ou par une de leur combinaison, et pour lesquelles une étude hydrogéologique réalisée par un organisme compétent et indépendant atteste de l'absence de voie de transfert vers une nappe exploitée ou susceptible d'être exploitée, pour des usages agricoles ou en eau potable. Sont également dispensées de l'obligation de travaux mentionnée au premier alinéa : - les rétentions associées à des réservoirs existants dont l'exploitation cesse définitivement avant les échéances mentionnées au premier alinéa. |
| 22-2 | Les dispositions du 22-2-1 sont applicables aux installations existantes au 1er janvier 2023. Les dispositions du 22-2-2 ne sont pas applicables. Les dispositions du 22-2-4 sont applicables aux parois des rétentions construites ou reconstruites postérieurement à compter du 1er janvier 2021. Les autres dispositions sont applicables. |
| 22-3, 22-4, 22-6 | .Les dispositions ne sont pas applicables. |
| 22-5 | Pour les installations existantes, l'exploitant fournit au préfet au plus tard le 1er janvier 2026, une étude technico-économique évaluant la possibilité de répondre aux dispositions du point 22-5. |
| 22-7 | Le point 22-7-1 s'applique aux tuyauteries existantes au 1er janvier 2021. Cette disposition est applicable aux installations existantes à compter 1er janvier 2026. Pour les installations existantes, l'exploitant fournit au préfet avant le 1er janvier 2026, une étude technico-économique évaluant la possibilité de répondre aux dispositions du 27-7-2. Le 22-7.3 est applicable. |
| 22-8 | Pour les installations existantes, l'exploitant fournit au préfet avant le 1er janvier 2026, une étude technico-économique évaluant la possibilité de répondre aux dispositions du 22-8. |
| 22-9 | Ces dispositions sont applicables aux installations existantes à compter du 1er janvier 2031. |
| 22-10 | Cette disposition est applicable. |
| 23 (Arrêté du 22 septembre 2021) |
Les dispositions du présent article sont applicables aux installations existantes au 1er janvier 2026. |
| 25 | Les dispositions du présent article sont applicables aux installations existantes à compter du 1er janvier 2026. |
| 26 | Les dispositions du dernier alinéa du 26-1 ne sont pas applicables aux installations existantes. Les dispositions du 26-2 ne sont pas applicables aux installations existantes. Les dispositions des points 26-3 à 26-5 du présent arrêté sont, par ailleurs, applicables aux installations existantes à la date de la prochaine inspection détaillée hors exploitation du réservoir prévue à compter du 1er janvier 2023 au titre de l'article 29 du présent arrêté ou au plus tard le 1er janvier 2031 pour les réservoirs ne faisant pas l'objet d'une inspection hors exploitation détaillée. |
| 27 | Les dispositions du présent article sont applicables aux installations existantes à compter du 1er janvier 2026. |
| 28 | Dans les installations existantes pour lesquelles la réglementation antérieure n'imposait pas de dispositions équivalentes, un dossier de suivi est mis en place au plus tard le 1er janvier 2023. |
| 29 | Dans les installations antérieures pour lesquelles la réglementation antérieure n'imposaient pas de dispositions équivalentes, le programme des inspections est mis en place avant le 1er janvier 2023. Pour les réservoirs n'ayant jamais fait l'objet d'une inspection externe ou hors exploitation détaillée, la première inspection hors exploitation détaillée a lieu au plus tard le 1er janvier 2031. |
| 35 | Les dispositions du présent article sont applicables aux installations existantes au 1er janvier 2023. |
| 36 | Les dispositions du présent article 36 sont applicables aux installations existantes au 1er janvier 2026. |
| 39 | Les dispositions du présent article sont applicables aux installations existantes à compter du 1er janvier 2026. |
| 43 | Sauf mention contraire dans les points concernés, les dispositions de l'article 43 sont applicables au plus tard le 1er janvier 2026 aux installations existantes. |
| 43-1 | Les dispositions de ce point 43-1 sont applicables aux installations existantes à compter du 1er janvier 2026 La stratégie de lutte contre l'incendie prévue au 43-1 est élaborée ou mise à jour, le cas échéant pour tenir des installations de stockages liquides inflammables non classés inflammables, au plus tard le 1er janvier 2026. |
| 43-2 (Arrêté du 22 septembre 2021) |
Dans le cas d'une installation déjà soumise au titre VI de l'arrêté ministériel du 3 octobre 2010, si la mise à jour de la stratégie de lutte contre l'incendie prévue au 43-1 conduit à une augmentation des moyens nécessaires, si l'exploitant prévoit un recours aux moyens des services d'incendie et de secours en application de l'article 43-2-2, ce recours ne porte que sur les moyens complémentaires sollicités. Les dispositions du point 43-2-4 sont applicables aux installations existantes au 1er janvier 2026. |
| 43-3-1 | Les dispositions des deux premiers alinéas du point 43-3-1 sont applicables aux installations existantes de stockage de liquides inflammables non classés inflammables. - au 1er janvier 2026, si l'exploitant n'a pas sollicité le recours aux moyens des services d'incendie et de secours en application du point 43-2-2 du présent arrêté ; - dans un délai de quatre ans après l'éventuelle réponse négative du préfet telle que mentionnée au deuxième alinéa du point 43-2-2 du présent arrêté, pour les demandes de recours aux moyens des services d'incendie et de secours sollicitées avant le 1er janvier 2023 ; - dans un délai de six ans à compter de la date de l'arrêté préfectoral tel que prévu au troisième alinéa du point 43-2-2 du présent arrêté, pour les demandes de recours aux moyens des services d'incendie et de secours sollicitées avant le 1er janvier 2023. Les dispositions des alinéas 3 à 5 ne sont pas applicables. |
| 43-3-3 | Les dispositions du premier alinéa du 43-3-3 sont applicables aux installations existantes de stockage de liquides inflammables non classés inflammables : - au 1er janvier 2026, si l'exploitant n'a pas sollicité le recours aux moyens des services d'incendie et de secours en application du point 43-2-2 du présent arrêté ; - dans un délai de quatre ans après l'éventuelle réponse négative du préfet telle que mentionnée au deuxième alinéa du point 43-2-2 du présent arrêté, pour les demandes de recours aux moyens des services d'incendie et de secours sollicitées avant le 1er janvier 2023. Les dispositions des cinq derniers alinéas du 43-3-3 sont applicables aux installations existantes : - à l'échéance réglementaire de mise à jour du plan d'opération interne tel que défini à l'article R. 512-29 du code de l'environnement, si l'exploitant est soumis à l'obligation d'établir un tel document ; - au 1er janvier 2023, si l'exploitant n'est pas soumis à cette obligation. |
| 43-3-4 | Les dispositions de ce point 43-3-4 sont applicables aux installations de stockage de liquides inflammables non classés inflammables dans un délai de six ans à compter de la date de l'arrêté préfectoral tel que prévu au troisième alinéa du point 43-2-2 du présent arrêté, pour les demandes de recours aux moyens des services d'incendie et de secours sollicitées avant le 1er janvier 2023. |
| 43-3-7 et 43-3-8 | Les dispositions des points 43-3-7 et 43-3-8 du présent arrêté sont applicables aux installations de stockage de liquides inflammables non classés inflammables : - au 1er janvier 2026, si l'exploitant n'a pas sollicité le recours aux moyens des services d'incendie et de secours en application du point 43-2-2 du présent arrêté ; - dans un délai de quatre ans après l'éventuelle réponse négative du préfet telle que mentionnée au deuxième alinéa du point 43-2-2 du présent arrêté, pour les demandes de recours aux moyens des services d'incendie et de secours sollicitées avant le 1er janvier 2023 ; - dans un délai de six ans à compter de la date de l'arrêté préfectoral tel que prévu au troisième alinéa du point 43-2-2 du présent arrêté, pour les demandes de recours aux moyens des services d'incendie et de secours sollicitées avant le 1er janvier 2023. La disposition suivante du point 43-3-8 n'est pas applicable aux installations existantes. “Si l'exploitant dispose de ses propres groupes de pompage, il dispose de moyens de pompage de secours lui permettant de pallier le dysfonctionnement de n'importe lequel de ses groupes pris individuellement.” |
| 43-7 | Cette disposition est applicable au 1er janvier 2026. |